评估指标
分类问题:
准确率 - accuracy、精确率 - precision、召回率 - recall、F1值 - F1-score、ROC曲线下面积 - ROC-AUC (area under curve)、PR曲线下面积 - PR-AUC
回归问题:MAE、MSE、RMSE
优化方法
梯度下降、批梯度下降、随机梯度下降、
momentum、Adagrade、RMSProp、Adam
激活函数
sigmoid和softmax、tanh、Relu和Leaky Relu
损失函数
分类损失:
0-1损失、交叉熵损失(log对数损失)、合页损失
回归损失:
平均绝对值误差-MAE(L1损失)、均方误差-MSE(L2损失)、Huber 损失
过/欠拟合问题
过拟合:增加数据、正则化、Dropout、BN
欠拟合:
样本不平衡
欠采样/过采样、树模型、阈值调整、适合的评价指标
特征选择方法
过滤方法:覆盖率、皮尔森相关系数
嵌入方法:正则化项、输出特征重要性权重
梯度消失/梯度爆炸
本质上是因为神经网络的更新方法,梯度消失是因为反向传播过程中对梯度的求解会产生sigmoid导数和参数的连乘,sigmoid导数的最大值为0.25,权重一般初始都在0,1之间,乘积小于1,多层的话就会有多个小于1的值连乘,导致靠近输入层的梯度几乎为0,得不到更新。梯度爆炸是也是同样的原因,只是如果初始权重大于1,或者更大一些,多个大于1的值连乘,将会很大或溢出,导致梯度更新过大,模型无法收敛。
模型
LR推导
SVM推导
SVM 是一种二类分类模型,它的基本思想是在特征空间中寻找间隔最大的分离超平面。有三种情况:
- 当训练样本线性可分时,通过硬间隔最大化,学习一个线性分类器,即线性可分支持向量机;
- 当训练数据近似线性可分时,引入松弛变量,通过软间隔最大化,学习一个线性分类器,即线性支持向量机;
- 当训练数据线性不可分时,通过使用核技巧及软间隔最大化,学习非线性支持向量机。
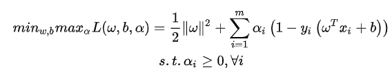
目标函数 (硬间隔):

求解目标函数 (硬间隔):
用拉格朗日函数,将不等式约束融入目标函数中。

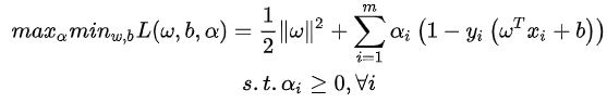
满足KKT条件,转换成对偶问题。

先求内部最小值,对 w 和 b 求偏导并令其等于 0 可得:

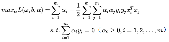
将其代入到上式中去可得到:

此时需要求解 ,利用SMO(序列最小优化)算法:
SMO算法的基本思路是每次选择两个变量 和
,选取的两个变量所对应的样本之间间隔要尽可能大,因为这样更新会带给目标函数值更大的变化。SMO算法之所以高效,是因为仅优化两个参数的过程实际上仅有一个约束条件,其中一个可由另一个表示,这样的二次规划问题具有闭式解。
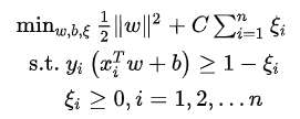
软间隔:
允许少量样本分类错误,在目标函数中引入松弛变量 (
为合页损失(hinge loss)),
引入C>0,惩罚参数,C越大说明把错误放的越大。

其中,
![]()
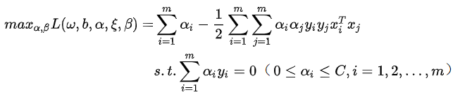
软间隔求解
与硬间隔类似:
上式的拉格朗日函数为:

满足KKT条件,转换成对偶问题:

先求内部最小值,对 w , b 和 求偏导并令其等于 0 可得:

将其代入到上式中去可得到,注意 被消掉了

此时需要求解 ,同样利用SMO(序列最小优化)算法。
核函数
将两个低维空间中的向量映射到高维空间后的内积
为什么SVM只使用支持向量?

随机森林
常见调参:
n_estimators:森林中决策树的个数,默认是10
criterion:度量分裂质量,信息熵或者基尼指数
max_features:特征数达到多大时进行分割
max_depth:树的最大深度
min_samples_split:分割内部节点所需的最少样本数量
bootstrap:是否采用有放回式的抽样方式
min_impurity_split:树增长停止的阀值
XGB

常用调参:
n_estimators:迭代次数,子树的数量
max_depth、min_child_weigh:树深,孩子节点最小样本权重和
gamma、alpha、lambda:后剪枝比例,L1,L2正则化系数
subsample、colsample_bytree:样本采样、列采样
eta:削减已学树的影响,为后面学习腾空间
tree_method:gpu_histGPU 加速
https://zhuanlan.zhihu.com/p/76772734
597

被折叠的 条评论
为什么被折叠?



