在本文中,我们将讨状态观测器。这个概念将有助于解释卡尔曼滤波器是什么以及它是如何工作的。
让我们从一个例子开始。这是小蒂米, 你想知道他的心情以及他现在的感受。然而,没有直接的方法能测量他的心情。所以,你要做的就是给他一个饼干, 并开始观察他的面部表情。这个观察可以帮助你估计他的真实情绪。状态观察可帮助您估计您无法直接查看或测量的内容。

在接下来的讨论中, 如果您看到一个带帽子的东西, 这意味着它是状态观测器得到的估计状态。因此,如果状态X显示有个帽子, 那么它是估计状态。

接下来,我们将看一个更实际的例子。你去太空旅行,去探索新的星球。为了安全抵达这些星球, 您需要监控喷气发动机的内部温度。如果它变得太热,它可能会损坏你的太空船。然而,没有任何可行的方法能测量内部温度,因为放置在发动机内部的传感器会熔化。您可以做的是将传感器放在温度低的表面上并测量那里的温度,让我们把这个温度称为T external;那个你无法衡量的温度但是需要估算的温度,称为T internal。

这是你的火箭。你想知道发动机的内部温度有多高,因为这会告诉你应该如何调节火箭的燃油流量。但是,您没办法得到Tin 。不过,你可以测量Text 。您可以使用的信号包括燃油流量和测量值。你如何估算内部温度?

实际上,您可以获取更多信息。如果你的数学非常好,你可以推导方程式, 得到真实系统的数学模型。你已经知道你的火箭输入的燃料,所以如果现在把这个燃料流量输入你的数学模型,将会得到估算的输出。而且,要知道,由于您有了所有的系统方程,您甚至可以计算该系统的内部状态。

好的,这现在能解决你的问题吗? 不幸的是,并没有。毫无疑问,你擅长数学,但实际上,你找到的数学模型只是你真实系统的近似值。它受到各种不确定因素的影响。如果你有一个完美的模型,没有任何不确定性,你的真实系统和你的模型具有相同的初始条件,这时,您的测量值和估算值能相互匹配,因此估算的内部温度也会与真实的内部温度吻合,但在现实生活中,这是不太可能的,估算的外部温度并不能吻合测量的温度。这就是为什么你需要使用状态估算器来估算你的内部状态。
让我们看看状态估算器的工作原理:目标是估计的外部温度能与测量的外部温度吻合,我们知道如果hat Text 与Text 相等,那表示模型收敛到了真实系统,那么估算的内部温度(hat Tin) 也能收敛到真实的内部温度(Tin) 。我们要做的是,尽量减少估算和测量的外部温度之间的差异。这对你来说听起来很熟悉吗? 实际上,我们谈的是反馈控制系统, 在这里,我们试图控制测量和估计的外部温度之间的误差为0, 使用控制器K。根据我们讨论的内容来更新左侧的框图,下图左侧中的蓝色区域表示状态观测器。

通过观测器及其控制器K形成的闭环,我们来尝试消除估算和测量外部温度之间的误差,这样估算的内部温度就能得到真实值。总之,您无法直接测量内部发动机温度, 但是你知道你给火箭提供了多少燃料, 所以你可以运行数学模型,估算输出, 然后再结合实际测量值来估计系统的内部状态。问题是,如何选择控制器增益K,使测量和估算的外部温度之间的误差最小化。在下一篇文章中我们将继续深入讨论卡尔曼滤波器的工作原理。
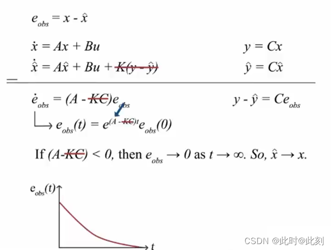
接下来, 我们来看看如何以数学方式来解释状态观测器: 我们把问题抽象一下,并将输入显示为u,输出显示为y, 以及我们想要估计的任何状态为x。

我们的目标是x hat的估计值能逼近x, 因此我们可以将它们的差值定义为误差eobs (1)。接下来,让我们写出系统(2)和观测器(3)的方程式。如果我们把这些方程相减,得到误差方程。通过重新排列组合各项, 我们可以看到,误差可以表达为这个等式(4)。

这个等式的解是个指数函数(5)。这意味着如果这个项小于零, 很好,因为我们知道了错误会随着时间的而降低, x hat最终会收敛到x。

现在您可能会问,这个等式中我们是否真的需要KC项。因为即使没有反馈回路将KC项添加到等式中,我们也会有一个误差衰减的指数函数。给观测器建立反馈回路的重要性在于,我们可以通过选择相应的控制器增益K,进而控制误差函数的衰减率。但是,这里的衰减率仅取决于矩阵A。如果数学模型中存在一些不确定性, 这表示着您并不知道真实的A,因此,您无法控制误差衰减的速度。

使用反馈控制器可以更好地控制这些方程, 并确保更快地消除错误。误差消失得越快, 估算状态x hat收敛到真实状态x的速度就越快。选择增益K的最佳方法, 也就是使用卡尔曼滤波器。在下一篇文章中,我们将深入了解卡尔曼滤波器的工作原理。
文章内容的视频地址如下:
7147

被折叠的 条评论
为什么被折叠?



