1.什么是继承?
在程序中:
- 由两个或者多个相关类中提取共性 ,将共性存放于一个共通类中,通过指定方式有普通类与共通类关联起来,形成继承体系
- 共通类: 称为父类 / 超类 / 基类;普通类: 称为子类
- 父类和子类的关系:子类
继承自父类;父类派生出子类
继承的伪代码
#父类
class 父类类名:
def __init__(self,形参列表):
子类中的共同特征
子类中的共同行为
#子类
class 子类类名(父类类名):
def __init__(self, 共性字段列表, 个性字段的列表):
#调用父类的位共性字段初始化的方式
#为个性字段初始化赋值
个性方法
案例:
类似于高中数学学的归纳法,归纳出通项
各个子类又具有自己独有特征

class Person:
def __init__(self, name, age, sex):
self.name = name
self.age = age
self.sex = sex
def eat(self):
print(self.name, '吃饭')
class Student(Person):
# 初始化学生对象时,不仅需要对个性赋值,还需要给共性赋值
def __init__(self, name, age, sex, sid):
# 需要调用父类中的为共性赋值的初始化方法
"""
super --- 表示的是父类 Person
self --- 表示的是当前类的对象
super(): 创建一个父类对象
创建对象的格式: 类名()
"""
super().__init__(name, age, sex)
# 为个性赋值
self.sid = sid
# 个性行为
def study(self):
# 需要使用父类中的字段 因为是继承关系 就像使用自己的一样 直接使用就行
print(self.name, "在学习")
class worker(Person):
def __init__(self, name, age, sex, wid):
super().__init__(name, age, sex)
self.wid = wid
def work(self):
print(self.name, "在工作")
def main():
# 创建对象
stu = Student("诡途", 18, "男", '0010')
stu.eat() # 父类方法
stu.study() # 子类方法
# 创建对象
wk = worker("天猫精灵", 20, "女", "1234")
wk.eat()
wk.work()
if __name__ == '__main__':
main()

class Animal:
def __init__(self, name, age, sex):
self.__name = name
self.__age = age
self.__sex = sex
@property
def name(self):
return self.__name
# 这里的name是下面的set的name
@name.setter
def name(self, name):
self.__name = name
@property
def age(self):
return self.__age
@age.setter
def age(self, age):
if age < 0:
self.__age = 0
else:
self.__age = age
@property
def sex(self):
return self.__sex
@sex.setter
def sex(self, sex):
if sex != "雌" and sex != "雄":
self.__sex = "雌"
else:
self.__sex = sex
"""
父类中的共性特征都私有化了:
凡是私有化的内容的作用范围:仅限于当前类中,即使子类也无权访问
子类如果想访问,——使用父类提供的访问方式进行访问
如同子类还想通过普通的访问格式进行访问
需要把父类中的方法属性化才可以
"""
class Dog(Animal):
def __init__(self, name, age, sex, breed):
super().__init__(name, age, sex)
self.bred = breed
def eat_bone(self):
print(self.name, "啃骨头")
def look_home(self):
print(self.name, "看家")
class Cat(Animal):
def __init__(self, name, age, sex):
super().__init__(name, age, sex)
def eat_fish(self):
print(self.name, "吃鱼")
def catch_mouse(self):
print(self.name, "抓老鼠")
def main():
cat = Cat("ketty", age=2, sex="雌")
cat.eat_fish()
print(cat.name, cat.sex)
if __name__ == '__main__':
main()
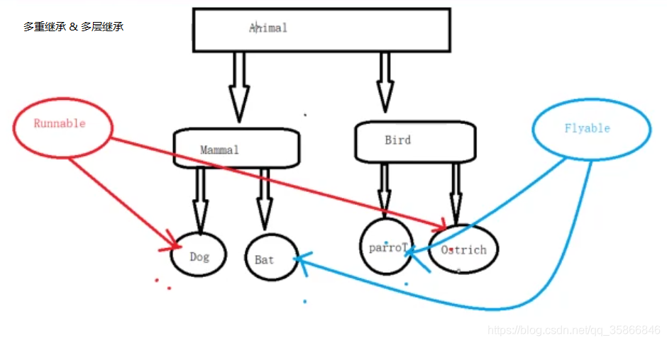
2.继承中的概念
-
单继承: 一个类有且仅有一个父类
-
多重继承/多层继承: 一个类可以间接继承多个父类
-
多继承: 一个类可以有多个父类 [Python支持多继承],class 子类(父类1, 父类2, … )
多层继承关系:子类 - 父类 - 爷爷类 – 老爷爷类
间接继承也可以直接使用共性的
#通过动物体系演示概念
#狗 : dog、蝙蝠: bat、鹦鹉: parrot、鸵鸟: ostrich、
Animal 顶级类
哺乳类Mammal和鸟类Bird 次级顶类
哺乳类: 狗 蝙蝠
鸟类: 鹦鹉 鸵鸟
能跑的runnable 和 能飞的flyable
runnable:狗 鹦鹉 鸵鸟
flyable:蝙蝠 鹦鹉

class Animal:
pass
class Runnable:
pass
class Flyable:
pass
# 哺乳类
class Mammal(Animal):
pass
class Bird(Animal):
pass
class Dog(Mammal, Runnable):
pass
class Parrot(Bird, Flyable):
pass
Python支持多继承,C++也支持多继承,Java只能单继承
#查看类的父类
类名.__bases__
# 查看Student的父类
print(Student.__bases__)
>>> (<class '__main__.Person'>,)
# 查看Person 的父类
print(Person.__bases__)
>>>(<class 'object'>,)
object根类:
- object类:根类 – 族谱中的老祖宗
- 所有的类都是object的直接子类或者间接子类
- 没有标注继承自谁, 默认就是继承自object
3.方法的重写
子类去重写父类中的方法,
当子类重写了父类中的方法,子类再调用该方法时 调用的是子类重写之后的
什么时候进行重写?
- 子类中该功能的实现 父类无法满足了 子类就可以对其进行重写
重写类型
- 自定义方法重写
- 系统方法重写。


class Bird:
def __init__(self, color):
self.color = color
'''
鸟类 攻击行为
小红鸟 --- 死撞
小黑鸟 --- 爆炸
小黄鸟 --- 加速
小蓝鸟 --- 分裂
'''
def attach(self):
print("父类中的攻击实现")
class RedBird(Bird):
def __init__(self, color):
super().__init__(color)
# 攻击行为: 子类中的方法声明与父类中的方法声明一致 实现功能的内容部分可以不一样
def attach(self):
# 当子类重写了父类中的方法,子类再调用该方法时 调用的是子类重写之后的
# 子类重写之后 还想实现父类中方法的功能 可以在子类重写的方法中 通过super去调用
super().attach()
print("死撞")
def main():
rb = RedBird("红色")
rb.attach()
if __name__ == "__main__":
main()
>>>父类中的攻击实现 #实现父类方法
>>>死撞 #实现子类中重写方法
本文深入解析面向对象编程中的继承与方法重写概念,包括单继承、多继承及多层继承的特点,以及如何在子类中重写父类方法以实现特定功能。通过实例演示,帮助读者理解继承体系的构建与应用。
1113

被折叠的 条评论
为什么被折叠?



