Problem Description:
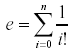
A simple mathematical formula for e is
where n is allowed to go to infinity. This can actually yield very accurate approximations of e using relatively small values of n.Output:
Output the approximations of e generated by the above formula for the values of n from 0 to 9. The beginning of your output should appear similar to that shown below.
Sample Output:
n e - -----------
0 1
1 2
2 2.5
3 2.666666667
4 2.708333333
#include<iostream>
using namespace std;
int main(){
cout<<"n e"<<endl<<"- -----------"<<endl;
double e = 0.0;
for(int i = 0; i <= 9; i++){
double temp;
int de = 1;
for(int j = 1; j <= i; j++){
de = de*j;
}
temp = 1.0 / (double)de;
e = e + temp;
if(i < 3) cout<<i<<' '<<e<<endl;
if(i >= 3) printf("%d %.9lf\n",i,e);
}
return 0;
}

251

被折叠的 条评论
为什么被折叠?



