考研管理类联考(专业代码199)数学基础【2】整式与分式

一、整式及其运算

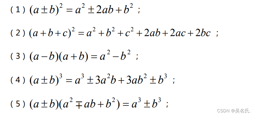
1.常用乘法公式(逆运算就是因式分解)

在这里插入图片描述
公式扩展①

在这里插入图片描述
公式扩展②

在这里插入图片描述
公式扩展③

在这里插入图片描述

2.整式除法定理

若整式 F(x) 除以x-a的余式为r(x),则 F(x) = (x -a)+ g(x) +r(x) ,故r(a)=F(a)成立

二、指数和对数的运算性质

1.指数运算性质

在这里插入图片描述
在这里插入图片描述

2.对数运算性质

在这里插入图片描述

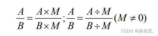
三、分式运算性质

在这里插入图片描述

评论 1
添加红包

请填写红包祝福语或标题

红包个数最小为10个

红包金额最低5元

当前余额3.43前往充值 >
需支付:10.00
成就一亿技术人!
领取后你会自动成为博主和红包主的粉丝 规则
hope_wisdom
发出的红包

打赏作者

吴名氏.

你的鼓励是我创作的最大动力

¥1 ¥2 ¥4 ¥6 ¥10 ¥20
扫码支付:¥1
获取中
扫码支付

您的余额不足,请更换扫码支付或充值

打赏作者

实付
使用余额支付
点击重新获取
扫码支付
钱包余额 0

抵扣说明:

1.余额是钱包充值的虚拟货币,按照1:1的比例进行支付金额的抵扣。
2.余额无法直接购买下载,可以购买VIP、付费专栏及课程。

余额充值