目录
1、基础知识结构解读



2、函数的概念与特性
2.1 函数

2.2 反函数





2.3 复合函数








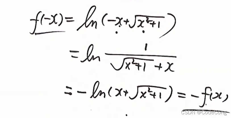
2.4 反双曲正弦函数(反函数求法双曲正弦,图像,双曲余弦,应用,求导,积分)









求反双曲正弦函数的反函数 双曲正弦函数




2.5 复合函数的复合技巧(广义化、画图、找分割线)
例子1



例子2







3、函数的四种特性
3.1 有界性
也可以通过极限判定有界性

3.2 单调性

3.3 奇偶性

特殊数字0和1





对称性的应用(不以0为对称轴)



3.4周期性



3.5 重要结论(奇偶周期函数求导,积分,拉格朗日的应用)







4、直角坐标系下的常见图像(常见函数经过变化形成考题)
4.1 常数函数

4.2 幂函数






4.3指数函数



4.4 对数函数









4.5 三角函数









4.6 反三角函数








4.7 初等函数






4.8分段函数



可以划分区域





5、直角坐标系下的图像变换(在直角坐标系下画图)
5.1 平移变换



5.2 对称变换




5.3 伸缩变换

6、极坐标下的图像(区分度的题目)
6.1 用描点法画常见的图像(不常用)

6.2 用直角系的观点画极坐标系下的图像(巧妙的办法心形线常考,使用了巧妙的办法,其余靠的少,记住图形即可)
心形线(外摆线)






玫瑰线

阿基米德螺线

伯努利双纽线

7、参数法-参数方程(函数无法使用极坐标和直角坐标系表示)
7.1 平摆线





7.2 星形线(内摆线)




8、常用基础知识
8.1 数列
等差数列

等比数列

常见数列的前n项和


8.2 三角函数









8.3 指数运算法则

8.4 对数运算法则



拉格朗日中值定理




8.5 一元二次方程基础

8.6 因式分解公式


8.7 阶乘与双阶乘


8.8 常用不等式






















本文深入探讨了函数的概念,包括反函数、复合函数及其应用。特别关注了反双曲正弦函数的性质,如求导、积分及图像。同时,介绍了函数的四大特性:有界性、单调性、奇偶性和周期性,并讨论了它们在求导和积分中的作用。此外,文章还涵盖了直角坐标系和极坐标系下的图像变换,以及参数方程在处理复杂函数表示时的重要性。最后,总结了数列、三角函数、指数与对数运算等基础数学知识。
757

被折叠的 条评论
为什么被折叠?



