文章目录
0 笔记说明
参考书籍为:

本笔记主要是为了方便自己日后复习。由于未学习LaTeX,我会上传教材图片或者手写图片代替部分公式或内容。博客主要分为两部分:【1 书本内容】与【2 听课笔记】,前者为对教材中重要定理、定义的整理,后者为自己在矩阵上课时的笔记的二次书面整理。根据自身学习需要,我可能会增加必要内容。
本篇博客是关于第二章的内容,下面开始即为正文。
1 书本内容
1.1 λ-矩阵及标准型
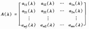
1、λ-矩阵:设αij(λ)为数域F上的多项式,其中i=1,2,…,m,j=1,2,…,n,则称以αij(λ)为元素的m×n矩阵:

为多项式矩阵或λ-矩阵。称多项式αij(λ)中最高的次数为A(λ)的次数,i=1,2,…,m,j=1,2,…,n。数字矩阵和特征矩阵λE-A都是λ-矩阵的特例。λ-矩阵的加法、数乘和乘法运算、矩阵的转置与数字矩阵相同,而且有相同的运算规律。
2、λ-矩阵的行列式:λ-矩阵行列式的性质与数字矩阵相同。一般情况下,λ-矩阵的行列式|A(λ)|是λ的一个多项式。
3、λ-矩阵的秩:如果λ-矩阵A(λ)中有一个r(r≥1)阶子式不为零,而所有r+1阶子式(如果有的话)全为零,则称A(λ)的秩为r,记为rankA(λ)=r。由于A(λ)的行列式及一切子式都是λ的多项式,所以r+1阶子式为零的含义是r+1阶子式恒为零。
4、λ-矩阵的可逆:一个n阶λ-矩阵称为可逆的,如果有一个n阶λ-矩阵B(λ),满足A(λ)B(λ)=B(λ)A(λ)=E,这里E是n阶单位矩阵,则B(λ)称为A(λ)的逆矩阵,记为A-1(λ)。n阶λ-矩阵A(λ)可逆⇔|A(λ)|是非零常数。n阶λ-矩阵A(λ)的秩为n,不等价于A(λ)可逆,这是与数字矩阵不相同之处。
5、λ-矩阵的初等变换:
(1)矩阵的任意二行(列)互换位置;
(2)非零常数c乘矩阵的某一行(列);
(3)矩阵的某一行(列)的φ(λ)倍加到另一行(列)上去,其中φ(λ)是λ的一个多项式。
6、λ-矩阵的初等矩阵:对单位矩阵施行一次上述三种类型的初等变换,便得相应的三种λ-矩阵的初等矩阵:
(1)矩阵的任意第i行(列)和第j行(列)互换位置,得到的矩阵为:

(2)非零常数c乘矩阵的第i行(列),得到的矩阵为:

(3)矩阵的【第i行的φ(λ)倍加到第j行上去】或者【第j列的φ(λ)倍加到第i列上去】,其中φ(λ)是λ的一个多项式,得到的矩阵为:

对m×n阶的λ-矩阵A(λ)作初等行变换,相当于用相应的m阶初等矩阵左乘A(λ)。对A(λ)作初等列变换,相当于用相应的n阶初等矩阵右乘A(λ)。
7、λ-矩阵的等价:如果A(λ)经过有限次的初等变换后变成B(λ),则称A(λ)与B(λ)等价,记之为A(λ)≌B(λ)。A(λ)≌B(λ)⇔存在两个可逆矩阵P(λ)与Q(λ),使得B(λ)=P(λ)A(λ)Q(λ)。λ-矩阵的等价关系满足:
(1)自反性:每一个λ-矩阵与自己等价;
(2)对称性:若A(λ)≌B(λ),则B(λ)≌A(λ);
(3)传递性:若A(λ)≌B(λ),B(λ)≌C(λ),则A(λ)≌C(λ)。
8、Smith标准型:任意一个非零的m×n阶λ-矩阵A(λ)都等价于一个对角形矩阵,即:

其中r≥1,di(λ)是首项系数为1的多项式,且:di(λ)|di+1(λ),i=1,2,…,r-1。上图中的三个0代表的是零矩阵。上图与A(λ)等价的右面的矩阵称为A(λ)的Smith标准型,di(λ)称为A(λ)的不变因子,i=1,2,…,r。λ-矩阵的Smith标准型是唯一的,可以应用初等变换求λ-矩阵的Smith标准型,也可以应用行列式因子求Smith标准型。
9、对A(λ)用初等变换化成Smith标准型时,A(λ)的特点只有三种:
(1)A(λ)的元素中至少有一个非零常数,这属于A(λ)无公因式的情况,这时通过初等变换将非零常数换到最左上角;
(2)A(λ)的元素有公因式,这时通过初等变换将某一个元素化为公因式,然后通过初等变换将其换到最左上角;
(3)A(λ)的所有元素既无非零常数又无公因子,这时通过初等变换将某一个元素化为非零常数,然后通过初等变换将其换到最左上角。
之后通过初等变换将左上角的元素所在的行和列都化为0,然后对右下角的低次阶矩阵进行相同的判断后采取相应操作。注意最终得到的Smith标准型矩阵中的每个不变因子的首项系数均为1,若不变因子为常数则必须是1。
10、m×n阶λ-矩阵A(λ)与B(λ)等价的充要条件:
(1)A(λ)与B(λ)的所有行列式因子都相同;
(2)A(λ)与B(λ)的所有不变因子都相同;
(3)A(λ)与B(λ)的所有初等因子都相同且秩相等。
11、n阶λ-矩阵A(λ)可逆的充要条件:
(1)A(λ)与单位矩阵等价;
(2)A(λ)可以表示成一些初等矩阵的乘积。
1.2 初等因子与相似条件
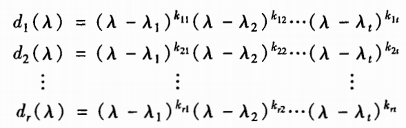
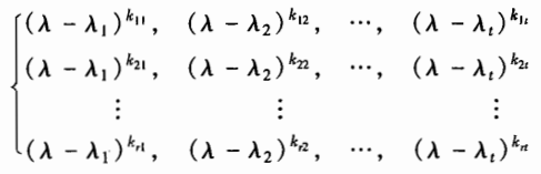
1、初等因子:λ-矩阵的行列式因子Dk(λ)与不变因子dk(λ)都是λ的多项式,它们都是由A(λ)的元素aij(λ)经过加、减、乘而得到的。在复数域C内,作为多项式的不变因子dk(λ)总可以分解为互不相同的一次因式方幂的乘积,令:

因为dk-1(λ)|dk(λ),k=2,…,r,所以k1j≤k2j≤…≤krj,j=1,2,…,t。这里的λ1,λ2,…,λt是dr(λ)的全部相异零点,所以kr1,kr2,…,krt都是非零常数,但是k1j≤k2j≤…≤kr-1,j中可能有零,其中j=1,2,…,t,而且若kij=0,其中j=1,2,…,t,i=1,2,…,r-1,则有k1j=k2j=…kr-1,j=0。将:

中不是常数的因子全体叫做A(λ)的初等因子。举个栗子:

2、准对角形矩阵的初等因子:设λ-矩阵A(λ)如下:

A(λ)为准对角形矩阵,则Bi(λ)的各个初等因子的全体是A(λ)的全部初等因子,其中i=1,2,…,t。
1.3 矩阵的Jordan标准型
1、Jordan标准型:称ni阶矩阵Ji:

为Jordan块。设Ji为若当块,其中i=1,2,…,s,称准对角矩阵J:

为Jordan标准型。
2、数字矩阵对应的Jordan标准型:设矩阵A∈Cm×n,A的初等因子为:(λ-λ1)n1,(λ-λ2)n2,…,(λ-λs)ns,则A~J,其中J:

ni阶矩阵Ji:

称矩阵J为矩阵A的Jordan标准型。若ni=1,Ji是一阶Jordan块,当矩阵A的Jordan标准型中的Jordan块全是一阶时,J便是对角矩阵,因此可得:数字矩阵A可对角化⇔A的初等因子都是一次因式。
3、数字矩阵A对应的Jordan标准型的三点结论:
(1)每一个Jordan块Ji对应着属于λi的一个特征向量,其中λi是数字矩阵A的特征值;
(2)对于给定特征值λi,其对应Jordan块的个数等于λi的几何重复度;
(3)对于给定特征值λi,λi对应全体Jordan块的阶数之和等于λi的代数重复度。
4、关于Jordan标准型,我写了一篇博文——Jordan标准型的由来?为何n阶数字方阵都必有对应的Jordan标准型?怎么求可逆矩阵P?
1.4 矩阵的有理标准型
由于时间问题,省略这一部分,以后用到才会补。
2 听课笔记
2.1 λ-矩阵及标准型
1、数域F上关于λ的一元多项式:n是非负整数,F是一个数域,a0,a1,…,an∈F,则f(λ)=anλn+an-1λn-1+…+a1λ+a0称为数域F上关于λ的一元多项式。如果an≠0,则称anλn为f(λ)的首项,n称为多项式的次数,记为∂(f(λ)),于是∂(f(λ))=n。如果a0=a1=…=an=0,称该多项式为零多项式。规定∂(f(λ))=-∞。
2、约定:
(1)F[λ]:是全体多项式组成的集合;
(2)Fn[λ]:是全体次数小于n的多项式组成的集合。
3、多项式整除的定义:f(λ),g(λ)∈F[λ],如果g(λ)≠0,则存在q(λ),r(λ)∈F[λ],使得f(λ)=g(λ)q(λ)+r(λ),其中【r(λ)=0】或者【r(λ)≠0且∂(r(λ))<∂(g(λ))】,q(λ)称为g(λ)除f(λ)的商,r(λ)称为余式。如果r(λ)=0,则称g(λ)整除f(λ),记为g(λ)|f(λ)。称f(λ)是g(λ)的倍式,g(λ)是f(λ)的因式。因为【∀g(λ)∈F[λ],均有0=g(λ)·0+0】,所以0是任意多项式的倍式。
4、公因式与公倍式:f(λ),g(λ),d(λ)∈F[λ],如果d(λ)|f(λ)且d(λ)|g(λ),则称d(λ)为f(λ)与g(λ)的公因式,其中,最大公因式就是次数最大的公因式,(f(λ),g(λ))表示f(λ)与g(λ)的最大公因式,如果(f(λ),g(λ))=1,则称f(λ)与g(λ)互质;如果f(λ)|d(λ)且g(λ)|d(λ),则称d(λ)为f(λ)与g(λ)的公倍式,其中,最小公倍式就是次数最小的公倍式。
5、任何多项式均可表示为多个不可约多项式幂次的乘积:f(λ)∈F[λ],f(λ)=(q1(λ))r1(q2(λ))r2…(qs(λ))rs,其中qi(λ)为不可约多项式,即qi(λ)不能表示成两个次数比qi(λ)低的多项式的乘积。同一个多项式在不同数域下可能是不可约多项式,也可能是可约多项式,如对于f(λ)=λ2+1,当F[λ]=R[λ]时,f(λ)是不可约多项式;当F[λ]=C[λ]时,f(λ)是可约多项式,f(λ)=(λ+i)(λ-i)。关于不可约多项式,有以下结论:
(1)当F[λ]=R[λ]时,不可约多项式只有两种:① 一次的,即aλ+b,其中a≠0,a、b∈R;② 二次的,即aλ2+bλ+c,其中a≠0,b2-4ac<0,a、b、c∈R;
(2)当F[λ]=C[λ]时,不可约多项式只有一种:一次的,即aλ+b,其中a≠0,a、b∈R。
6、λ矩阵可以看作是以数字矩阵为系数的多项式,举个栗子:

7、行列式因子:设A(λ)∈[F[λ]]m×n,且rank(A(λ))=r,取k=1,2,…,r,从A(λ)中取所有k阶子式,将所有非零的k阶子式的最大的、首项系数为1的公因式Dk(λ)称为k阶行列式因子。等价矩阵有相同的各阶行列式因子,从而有相同的秩。
8、不变因子:设A(λ)∈[F[λ]]m×n,且rank(A(λ))=r,对于k阶行列式因子Dk(λ),令:① d1(λ)=D1(λ);② dk(λ)=Dk(λ)/Dk-1(λ),其中k=2,3,…,r。称d1(λ),d2(λ),…,dr(λ)为A(λ)的不变因子。当n阶λ-矩阵A(λ)满秩时,|A(λ)|=c·d1(λ)…dn(λ),其中c为非零常数。这表明每个不变因子di(λ)都是行列式|A(λ)|的因子,又因为不变因子di(λ)是由矩阵A(λ)唯一确定,故di(λ)是A(λ)的不变量,这也正是称di(λ)为不变因子的原因。
2.2 初等因子与相似条件
1、初等因子:设A(λ)∈[F[λ]]m×n,且rank(A(λ))=r,对于A(λ)的不变因子,即d1(λ),d2(λ),…,dr(λ)进行质因式分解,则得到初等因子。
2、数字矩阵的各种因子:对于数字矩阵A∈Cn×n,其特征矩阵λⅠ-A为λ矩阵,必有rank(λⅠ-A)=n和|λⅠ-A|≠0,称λⅠ-A的行列式因子、不变因子、初等因子为A的行列式因子、不变因子、初等因子。
3、数字矩阵相似的充要条件:对于数字矩阵A、B∈Cn×n,A~B的充要条件为:
(1)λⅠ-A≌λⅠ-B;
(2)λⅠ-A、λⅠ-B有相同的Smith标准型;
(3)λⅠ-A、λⅠ-B有相同的不变因子;
(4)λⅠ-A、λⅠ-B有相同的行列式因子;
(5)λⅠ-A、λⅠ-B有相同的初等因子。
4、n阶矩阵的Smith标准型:A∈Cn×n,设λⅠ-A的Smith标准型为:

则有:
(1)rank(λⅠ-A)=n,|λⅠ-A|≠0;
(2)d1(λ)·d2(λ)·…·dn(λ)=|λⅠ-A|;
(3)∂(d1(λ))+∂(d2(λ))+…+∂(dn(λ))=n。
2.3 矩阵的Jordan标准型
1、线性变换的特征结构:𝒜是线性空间V上的线性变换,矩阵A为𝒜在某个基下的矩阵表示,其中A为复数域上的n阶数字方阵,即A∈Cn×n,则存在n阶可逆矩阵P,使得P-1AP=J,其中J为:

有AP=PJ,将矩阵P分块得P=[P1,P2,…,Pq],其中Pi为n×ri阶矩阵,即Pi∈Cn×ri,矩阵Pi有ri个列向量,设Pi=[pi1,pi2,…,piri],i=1,2,…,q,则有:APi=PiJi,即经过线性变换𝒜后,Pi的列向量的像仍为Pi的列向量的线性组合,即span{pi1,pi2,…,piri}为线性变换𝒜的不变子空间。综上所述,P1,P2,…,Pq的列向量构成的向量组中有n个向量,为:p11,p12,…,p1r1,p21,p22,…,p2r2,…,pq1,pq2,…,pqrq,其中r1+r2+…+rq=n,因此有:span{p11,p12,…,p1r1,p21,p22,…,p2r2,…,pq1,pq2,…,pqrq}=Cn,Cn为n维列向量空间,也有Cn=span{p11,p12,…,p1r1}⊕span{p21,p22,…,p2r2}⊕…⊕span{pq1,pq2,…,pqrq}。
2.4 矩阵的有理标准型
无
END
2358

被折叠的 条评论
为什么被折叠?



