1 介绍
Frobenius 范数,简称F-范数,是一种矩阵范数,记为||·||F。
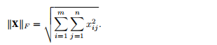
矩阵A的Frobenius范数定义为矩阵A各项元素的绝对值平方的总和开根,即

一个比较重要的结论
相当于L2范数开根号
numpy 实现 Frobenius 范数:
numpy笔记 linalg_UQI-LIUWJ的博客-CSDN博客
2 混淆概念区别 Frobenius 范数-L2范数
L 2 范数是对向量来说的(有些地方L2范数直接写成||x||)![]()
或者说Lp范数都是针对向量来说的![]()
Frobenius 范数 是针对矩阵来说的

Frobenius范数是矩阵的度量,等同于矩阵元素绝对值平方和的开方,而L2范数通常用于向量,是向量元素平方和的开方。这篇博客介绍了Frobenius范数的定义,强调了它与L2范数的区别,并提供了numpy库中计算Frobenius范数的实现示例。

被折叠的 条评论
为什么被折叠?



