本文衔接上一篇:评估LLM在细胞数据上的实用性(1)-基本概述
定义
我们考虑一个预训练LLM表示为 M ( x , θ ) M(x,\theta) M(x,θ),其基于单细胞数据集 D D D。其中, θ \theta θ体现了模型参数(比如网络权重)和超参数(比如epoch和lr)的集合。不同的LLM使用了不同的预训练数据集。微调阶段的模型结构定义为 M ′ ( x , θ ′ ) M'(x,\theta') M′(x,θ′)。我们的目标是确定不同子任务的最优 θ ′ θ' θ′集。形式上,我们表示不同task k k k的损失为 L k L_{k} Lk,使用evaluation数据集 D e v a l = { x i , y i } i = 1 n D_{eval}=\left\{x_{i},y_{i}\right\}_{i=1}^{n} Deval={xi,yi}i=1n去计算 L k L_{k} Lk,第一目标是: θ ∗ = a r g m i n θ ′ E x , y ∈ D [ L k ( M ′ ( x , θ ′ ) , y ) ] \theta^{*}=argmin_{\theta'}E_{x,y\in D}[L_{k}(M'(x,\theta'),y)] θ∗=argminθ′Ex,y∈D[Lk(M′(x,θ′),y)]第二目标是评估不同scLLM的性能: M ∗ = a r g m i n M ′ E x , y ∈ D [ L k ( M ′ ( x , θ ∗ ) , y ) ] M^{*}=argmin_{M'}E_{x,y\in D}[L_{k}(M'(x,\theta^{*}),y)] M∗=argminM′Ex,y∈D[Lk(M′(x,θ∗),y)]第三个目标是评估scLLM的其他能力,包括:零样本学习,跨物种数据分析,生物机制探索,稳定性。
参数和任务
大多数scLLM共享预训练过程。通过考虑各种scLLM之间的重叠,作者选择了scGPT、scBERT和Geneformer作为分析的代表性例子。scEval共关注八项微调任务:1.批次整合;2.多组学数据整合;3.细胞类型注释;4.基因功能预测;5.扰动预测;6.基因网络分析;7.插补;8.scRNA-seq模拟。为了分析不同超参数、初始设置和优化器的影响,scEval选择了四个具有代表性的数据集:Pancrm、HumanPBMC、Cell Lines和MCA,因为它们涵盖了各种数据类型。Pancrm来自胰腺组织,共有5个批次。HumanPBMC来源于PBMC,有九种细胞类型。Cell Lines有两种细胞类型,作为二进制标签数据集。MCA来自肌肉。
批次整合
批次整合是scRNA-seq数据预处理之后的一个重要步骤。批次效应主要表示源自同一组织的scRNA-seq数据集中的分布差异,这可归因于各种因素。批次整合不仅对研究人员辨别真实的生物信号至关重要,而且对促进不同研究的综合分析也至关重要。这项任务的挑战来自于需要平衡批次信号的去除和生物信号的保留。我们可以将此任务视为数据整合问题。
对于批次整合问题,考虑的指标类似scIB,包括生物保留评分的NMI、ARI和cell-type ASW,以及批次整合的batch ASW、主成分回归(PCR)和图连通性(GC)。scEval计算这些指标的加权平均值来表示最终的整合分数: S f i n a l = 0.6 S b i o + 0.4 S b a t c h S_{final}=0.6S_{bio}+0.4S_{batch} Sfinal=0.6Sbio+0.4Sbatch
多模态整合
多组学数据整合是多组学分析的关键。它类似于一种高级形式的批次整合。如果存在未配对的多组学数据,目标是将不同的数据集映射到一个共享空间中进行后续分析。如果存在配对的多组学数据,目标是评估多组学的使用是否有助于学习更全面的数据表示。这里的一个重大挑战是如何在特征级别对齐组学。例如,scRNA-seq数据的特征是基因,scATAC-seq数据的特征为峰,蛋白质数据的特征为蛋白质丰度。给定不同的模态,token步骤可能会变得复杂。scEval将此任务视为数据整合问题。使用与批次整合相同的指标评估多模态整合。
细胞类型注释
细胞类型注释是继单细胞数据预处理之后的另一个关键步骤。该步骤用reference中准确的细胞类型标签对query中的每个细胞进行注释,这可以通过先验知识(A comparison of marker gene selection methods for single-cell rna sequencing data)或计算方法(Supervised classification enables rapid annotation of cell atlases)来实现。这些注释的细胞类型标签可以为进一步的下游分析提供必要的生物学信息,例如细胞类型特定的网络分析。此外,药物反应预测或单细胞疾病分类也需要基于细胞类型注释。scLLM在处理细胞类型注释任务时采用的一种常见方法是使用有注释的单细胞数据集进行模型训练,并将未注释的数据集作为测试数据集。挑战在于预测或注释一组源自不同于训练数据集的分布外query。此外,具有novel类型细胞(不包括在训练数据集中)的存在使问题进一步复杂化。scEval将此任务视为一个多标签分类问题。
在细胞类型注释任务中,scEval在两种不同的情况下选择具有批次效应的数据集。数据集内情况(intra-dataset)允许批次交叉,这意味着训练和测试数据集可以包含来自同一批次的细胞。这里,总数据集被分为大约70%作为训练数据集,其余作为测试数据集。数据集间的情况(inter-dataset)是跨批次(跨数据)注释,这意味着训练和测试数据集来自不同的来源。在这种情况下,scEval考虑了来自同一组织的两个数据集。此处评估的主要得分是准确性,其定义为: S c e l l t y p e = c o r r e c t e d c e l l s T o t a l c e l l s S_{celltype}=\frac{corrected \thinspace\thinspace\thinspace cells}{Total\thinspace\thinspace\thinspace cells} Scelltype=TotalcellscorrectedcellsscEval还在消融实验分析中考虑了Precision、Recall和F1分数。
细胞层面的评估
细胞层面的评估包括:批次整合,多模态整合,细胞类型注释
批次整合
scEval考虑了scGPT、tGPT和ResPAN,还详细分析了各种超参数对scGPT在批次整合中性能的影响。如图3a所示,在九个数据集中的三个数据集中,scGPT的表现优于ResPAN,在所有数据集中的批次整合表现优于tGPT,而ResPAN的整合总体上最好。此外,scGPT在大规模数据集的批次整合方面表现较差,因为它们的生物保护得分低于原始数据集。在某些数据集上,仍然可以观察到scGPT输出批次效应。因此,scLLM在处理用于批次整合任务的图谱级数据集方面没有表现出优势。

- 图3a:基于不同方法对原始数据和批次整合后的数据进行的总体评估。与scGPT相比,scGPT full表示具有更大预训练数据集的scGPT模型。
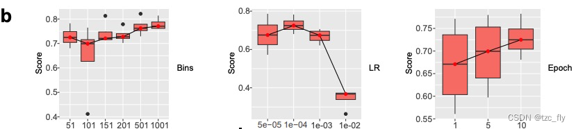
基于图3b,scEval详细分析了各种超参数对scGPT在批次整合中性能的影响。较小的学习率往往会在所有数据集上获得更好的性能。训练epoch的最佳数量因数据集而异,更大数量的epoch对大多数数据集都是有益的。这一结果与主张single-epoch训练方法的研究相矛盾(To repeat or not to repeat: Insights from scaling llm under token-crisis)。bins数量的增加通常与最终得分的增加有关。这些观察结果可能会改进scGPT在单细胞数据分析中的批次整合应用,也可能为其他类似模型的微调提供信息。

- 图3b:包括Bins、学习率(LR)和Epoch在内的超参数对批次整合任务中scGPT训练的影响。
此外,还有以下发现:scGPT能够执行零样本学习任务。对于Cell Lines数据集,甚至获得了最高分数,这表明它可能是某些数据集的有效方法。此外,预训练对scGPT在批次整合任务中的性能有显著贡献。在没有预先训练的情况下,从头训练模型的性能不高。
多模态整合
对于这项任务,scEval试图将scRNA-seq数据集与scATAC-seq数据集进行整合实验。通过与批次整合相同的metrics来评估z整合质量。图3c中的结果总结了初始设置选择对scGPT多模态整合性能的影响。令人感兴趣的是,预训练并没有显著影响这项任务的表现。scLLM的编码器部分比解码器起着更重要的作用。事实证明,在训练过程中包括细胞类型标签是有益的,可以为模型提供更精确和有用的信息。零样本场景在这项任务中的表现不好。关于超参数,epoch较多,可以提高模型的性能,将学习率设置得过高会导致模型崩溃。

- 图3c:多组学数据整合任务的不同初始设置的结果。
细胞类型注释
scEval考虑了Geneformer、scGPT、scBERT、CellLM和TOSICA来完成这项任务。平均而言,有预训练的模型比没有预训练的要好。然而,CellLM并没有在所有数据集上都表现良好。此外,对于数据集内预测任务(批次交叉),所有scLLM都是可比较的,即使它们具有不同的预训练集。对于数据集间预测任务(跨批次),scGPT比Geneformer差,但比scBERT好。对于跨物种细胞类型注释,Geneformer、scGPT和scBERT的性能在MCA数据集中具有可比性,但scGPT在MHSP和MB spatial数据集中表现不佳。
scEval比较了不同超参数设置下模型的性能。较高的loss weight、学习率、掩码比和较小的epoch往往会导致cGPT的性能较差。bins的数量与scGPT的性能之间几乎没有相关性。对于Geneformerand和cBERT来说,较低的学习率和较高的epoch也往往会带来更好的表现。
scEval还考虑了模型训练的不同初始设置。第一个设置是冻结,在这里冻结了预训练层的所有权重。第二个设置是使用默认的微调设置。第三个设置是From scartch开始训练。对于初始设置这部分,scEval考虑了scGPT和scBERT,省略了Geneformer。结果是预训练能提高scGPT的结果,特别是在跨数据集条件下。然而,对cBERT进行预训练并没有什么好处。对于这两种情况,不建议冻结预训练层并让它们不参与微调过程。在某些情况下,这种冻结的微调性能比从头开始训练更差。
本文探讨了如何评估预训练语言模型(LLM)在细胞数据分析中的表现,重点关注批次整合、多模态数据整合和细胞类型注释等任务。通过scGPT、scBERT和Geneformer等模型实例,研究了超参数选择、初始设置和不同任务对性能的影响。
573

被折叠的 条评论
为什么被折叠?



