-
约束优化问题的最优解
-
最优解的一阶条件(KKT条件)
1.约束优化问题

注:问题中函数均连续可微

2.约束优化最优解特征

3.最优解的一阶必要条件(KKT条件)




4.最优解的充分条件
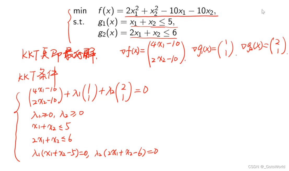
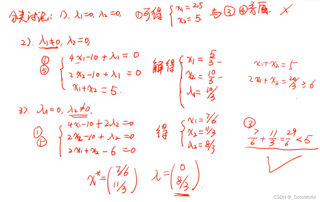
例题:求如下约束优化问题的最优解(由充分条件求解)


注:问题中函数均连续可微






4.最优解的充分条件
例题:求如下约束优化问题的最优解(由充分条件求解)

1813
6850
3923
2万+
1983

被折叠的 条评论
为什么被折叠?