本模型存在问题。AIC那边始终计算不对。。可能AIC函数有错?但其他检查后都是对的。能够验证均值回转定理。
- 参数估计+定阶
自协方差函数
根据

首先计算自协方差函数
AutoCov<-function(ts,P)
{
mu0=mean(ts)
#拆分数据
a=ts[1:(length(ts)-P)]
b=ts[(P+1):length(ts)]
c=0
for(i in 1:length(a))
{
c=c+(a[i]-mu0)*(b[i]-mu0)
}
return(c/length(a))
}
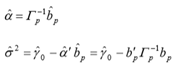
参数估计
建立Yule-Walker方程,估计a和sigma


#Yule-Walker方程生成和计算
YWMatrix<-function(k,p,select,ts)#注意这里k是上界
{
if(select==0)
a=1
else a=var(ts)
A<-matrix(1,nrow=k,ncol=k)
for(i in 1:k)
{
for(j in 1:k)
{
if(i==j)
A[i,j]=a
else if (i<j)
A[i,j]=p[j-i]
else A[i,j]=p[i-j]
}
}
return(A)
}
YWResult<-function(ts,k)
{
p<-array()
for(i in 1:k)
{
p[i]=AutoCov(ts,i)
}
A<-YWMatrix(k,p,1,ts)#设置为1是参数估计时用到的!!!!
alpha<-solve(A)%*%p
sigma<

最低0.47元/天 解锁文章

被折叠的 条评论
为什么被折叠?



