博主介绍:专注于Java(springboot ssm 等开发框架) vue .net php phython node.js uniapp 微信小程序 等诸多技术领域和毕业项目实战、企业信息化系统建设,从业十五余年开发设计教学工作
☆☆☆ 精彩专栏推荐订阅☆☆☆☆☆不然下次找不到哟
我的博客空间发布了2000+毕设题目 方便大家学习使用
感兴趣的可以先收藏起来,还有大家在毕设选题,项目以及论文编写等相关问题都可以给我留言咨询,希望帮助更多的人
文末下方有源码获取地址

4.1 系统总体模块图
大学生管理系统主要分为用户信息管理与查看,公告信息管理与查看,学校信息管理与查看,专业信息管理与查看,招生信息信息管理与查看,省份分数信息管理与查看具体功能模块图如4.1所示:

图4.1 系统总体模块图
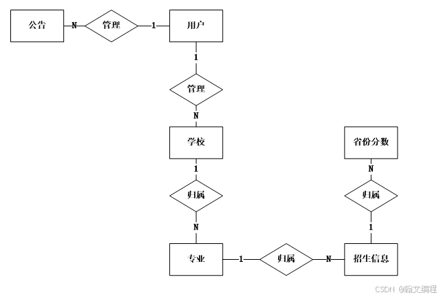
4.2.1 概念模型设计


 包含以下6个实体,用户实体,公告实体,学校实体,专业实体,招生信息实体,省份分数实体,如图所示:

本章主要介绍的内容是总体设计或者概要设计,介绍了高校招生系统的设计,主要是在架构设计、总体模块设计和数据库设计的方面介绍的,为进一步的详细设计做准备。
详细设计阶段的任务就是把在总体设计阶段提出的比较抽象概括的解决问题的方法具体化,也就是“应该怎样具体地实现这个系统”。在本阶段将包括数据库的设计和每个模块的详细设计,确定实现模块功能所需要的算法和数据结构。
普通用户或管理员输入自己的用户账号、密码,通过身份验证后可以进入相应的管理界面首页。管理员管理页面分为用户信息管理与查看,公告信息管理与查看,学校信息管理与查看,专业信息管理与查看,招生信息信息管理与查看,省份分数信息管理与查看等功能。
当用户需要登录的时候,需要有响应的页面来实现这一功能。登录界面是用来支持用户进行登录功能操作的界面,当在界面中输入普通用户的用户名、密码,就可以通过身份验证进入该系统。登录界面需要让用户输入用户名、密码。如果是错误登录信息造成的还要显示错误信息。否则,当信息输入和权限选择正确时,将分别将用户导入各自对应的操作界面首页。
5.2.1 逻辑结构设计
1 用户( 用户编号,用户名,密码,姓名,权限,联系电话,联系地址 )
2 公告( 公告编号,标题,内容,发布时间 )
3 学校( 学校编号,学校名称,介绍,图片,地址,联系电话 )
4 专业( 专业编号,专业名称,介绍,学校 )
5 招生信息( 招生信息编号,招生人数,年度,专业,介绍 )
6 省份分数( 省份分数编号,省份,招生信息,人数,分数线 )
由各个关系模式和根据需求分析阶段数据字典的数据项描述,给出各数据表结构。
(1)用户信息表如表5.1所示:
表5.1 用户信息表
|   序号  |   字段名称  |   数据类型  |   长度  |   主键  |   描述  | 
|   1  |   yhid  |   INTEGER  |   11  |   是  |   用户编号  | 
|   2  |   yhm  |   VARCHAR  |   40  |   否  |   用户名  | 
|   3  |   mm  |   VARCHAR  |   40  |   否  |   密码  | 
|   4  |   xm  |   VARCHAR  |   40  |   否  |   姓名  | 
|   5  |   qx  |   VARCHAR  |   40  |   否  |   权限  | 
|   6  |   lxdh  |   VARCHAR  |   40  |   否  |   联系电话  | 
|   7  |   lxdz  |   VARCHAR  |   40  |   否  |   联系地址  | 
(2)公告信息表如表5.2所示:
表5.2 公告信息表
|   序号  |   字段名称  |   数据类型  |   长度  |   主键  |   描述  | 
|   1  |   ggid  |   INTEGER  |   11  |   是  |   公告编号  | 
|   2  |   bt  |   VARCHAR  |   40  |   否  |   标题  | 
|   3  |   nr  |   VARCHAR  |   40  |   否  |   内容  | 
|   4  |   fbsj  |   VARCHAR  |   40  |   否  |   发布时间  | 
(3)学校信息表如表5.3所示:
表5.3 学校信息表
|   序号  |   字段名称  |   数据类型  |   长度  |   主键  |   描述  | 
|   1  |   xxid  |   INTEGER  |   11  |   是  |   学校编号  | 
|   2  |   xxmc  |   VARCHAR  |   40  |   否  |   学校名称  | 
|   3  |   js  |   VARCHAR  |   40  |   否  |   介绍  | 
|   4  |   tp  |   VARCHAR  |   40  |   否  |   图片  | 
|   5  |   dz  |   VARCHAR  |   40  |   否  |   地址  | 
|   6  |   lxdh  |   VARCHAR  |   40  |   否  |   联系电话  | 
(4)专业信息表如表5.4所示:
表5.4 专业信息表
|   序号  |   字段名称  |   数据类型  |   长度  |   主键  |   描述  | 
|   1  |   zyid  |   INTEGER  |   11  |   是  |   专业编号  | 
|   2  |   zymc  |   VARCHAR  |   40  |   否  |   专业名称  | 
|   3  |   js  |   VARCHAR  |   40  |   否  |   介绍  | 
|   4  |   xx  |   VARCHAR  |   40  |   否  |   学校  | 
(5)招生信息表如表5.5所示:
表5.5 招生信息表
|   字段名称  |   数据类型  |   长度  |   主键  |   描述  | |
|   1  |   zsxxid  |   INTEGER  |   11  |   是  |   招生信息编号  | 
|   2  |   zsrs  |   VARCHAR  |   40  |   否  |   招生人数  | 
|   3  |   nd  |   VARCHAR  |   40  |   否  |   年度  | 
|   4  |   zy  |   VARCHAR  |   40  |   否  |   专业  | 
|   5  |   js  |   VARCHAR  |   40  |   否  |   介绍  | 
(6)省份分数表如表5.6所示:
表5.6 省份分数表
|   序号  |   字段名称  |   数据类型  |   长度  |   主键  |   描述  | 
|   1  |   sffsid  |   INTEGER  |   11  |   是  |   省份分数编号  | 
|   2  |   sf  |   VARCHAR  |   40  |   否  |   省份  | 
|   3  |   zsxx  |   VARCHAR  |   40  |   否  |   招生信息  | 
|   4  |   rs  |   VARCHAR  |   40  |   否  |   人数  | 
|   5  |   fsx  |   VARCHAR  |   40  |   否  |   分数线  | 
5.2.1 登录模块界面
登录系统首页,出现用户名、密码的输入框,填写用户名和密码点击【提交】按钮,即可登录;也可以点击【重置】按钮,进行重新录入。具体的登录页面如图5.1所示:

图5.1 登录界面图
公告管理模块包括对系统内公告信息的发布,修改,查看,删除等功能。
(1)对系统公告的发布:发布公告的信息,按照公告页面给出的表单进行填写,填写完毕后点击确定即可。
(2)对系统公告的修改:修改公告的信息,在系统公告列表中直接点击修改,按照页面给出的表单进行填写,填写完毕后点击确定。
(3)对系统公告的删除:删除公告信息,在系统公告列表中直接点击删除.
(4)对系统公告的查看:查看公告信息,在系统公告列表中直接点击查看

学校管理模块包括对系统内学校信息的发布,修改,查看,删除等功能。
(1)对系统学校的发布:发布学校的信息,按照学校页面给出的表单进行填写,填写完毕后点击确定即可。
(2)对系统学校的修改:修改学校的信息,在系统学校列表中直接点击修改,按照页面给出的表单进行填写,填写完毕后点击确定。
(3)对系统学校的删除:删除学校信息,在系统学校列表中直接点击删除.
(4)对系统学校的查看:查看学校信息,在系统学校列表中直接点击查看

<div class="container-fluid">
        
        <div class="row">
          <div class="col-lg-12">
            <div class="card">
			              <div class="card-header"><h4>学校列表</h4></div>
              <div class="card-body">
                
                <form action="" method="post" >
				
				<div class="table-responsive">
                  <table class="table table-bordered"  id="table1">
                    <thead>
                      <tr>
                    	<th>序号</th>
			
					         <th ><strong>学校名称</strong></th>
			
					        
			
					         <th ><strong>图片</strong></th>
			
					         <th ><strong>地址</strong></th>
			
					         <th ><strong>联系电话</strong></th>
						<th style="width:15%">操作</th>
                      </tr>
                    </thead>
                    <tbody  id="table2">
                     	<%
					int i=1;
					if(rs!=null){
					while(rs.next()){
					%>
                                                <tr>
                                                    <td scope="row"><%=i%></td>
					        <td  height="28"  ><%=rs.getString("xxmc")%></td>
					       
					       
					       
					        <td  height="28"  ><img  src="../upload/<%=rs.getString("tp")%>" width="50" height="50"></td>
					       
					        <td  height="28"  ><%=rs.getString("dz")%></td>
					       
					        <td  height="28"  ><%=rs.getString("lxdh")%></td>
					       
                <td>	<div class="table-fun"><a href="xuexiaoupdate.jsp?keyid=<%=rs.getString("xxid")%>" >修改</a>|
						 <a href="xuexiaodelete.jsp?keyid=<%=rs.getString("xxid")%>" onClick="javascript:if(confirm('是否删除')){return true;}else{return false;}">删除</a>|
						 <a href="xuexiaodetail.jsp?keyid=<%=rs.getString("xxid")%>" >查看</a></div></td>
                                                </tr>
				<%
				i++;
				}
				}
				%>
                    
                    </tbody>
                  </table>
<ul class="pagination">
 <span id="spanFirst">第一页</span> <span id="spanPre">上一页</span> <span id="spanNext">下一页</span> <span id="spanLast">最后一页</span> 第<span id="spanPageNum"></span>页/共<span id="spanTotalPage"></span>页 
 
专业管理模块包括对系统内专业信息的发布,修改,查看,删除等功能。
(1)对系统专业的发布:发布专业的信息,按照专业页面给出的表单进行填写,填写完毕后点击确定即可。
(2)对系统专业的修改:修改专业的信息,在系统专业列表中直接点击修改,按照页面给出的表单进行填写,填写完毕后点击确定。
(3)对系统专业的删除:删除专业信息,在系统专业列表中直接点击删除.
(4)对系统专业的查看:查看专业信息,在系统专业列表中直接点击查看

 大家点赞、收藏、关注、评论啦  其他的定制服务 商务合作  下方联系卡片↓↓↓↓↓↓↓↓↓↓↓↓↓↓↓↓↓↓↓↓↓↓↓↓↓↓↓ 或者私信作者
                  
                  
                  
                  
                            
                    
      
          
                
                
                
                
              
                
                
                
                
                
              
                
                
                    
              
            
                  
被折叠的  条评论
		 为什么被折叠?
		 
		 
		
    
  
    
  
					
					
					


            