小x的奇遇-adventure
Description
小x是一个热爱生活的人。
小x在「九曲十八弯」中玩的很嗨,但是在最后一次乘车途中被坏人抓走了!得知小x是某「高」校的「高材生」后,邪恶的坏人掏出了罪恶之极的数学题!
坏人A手中有一个函数 ff ,据坏人粗糙的描述,小x得知,\begin{aligned}f(1)=1,f(n)=\sum_{i=1}^{n-1}[gcd(i,n-i)==1]\end{aligned}f(1)=1,f(n)=i=1∑n−1[gcd(i,n−i)==1]
呵,就这?
坏人B手中有一个函数 gg,据坏人粗糙的描述,小x得知,\begin{aligned}g(n)=\sum_{d|n}f(\frac n d)\end{aligned}g(n)=d∣n∑f(dn)
呵,就这?
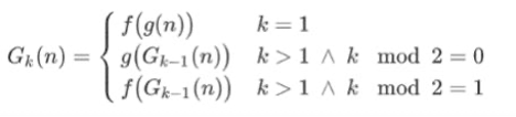
小x洋洋得意不到半分钟,被告知坏人A和B只是个传话的,据坏人C粗糙的描述,小x得知,坏人集团想让小x求出一个新的函数G_k(n)Gk(n)

救救小x!小x还有1200字的读书报告没写!
Input
第一行给出一个整数TT,表示共有TT组测试数据。
对于每组测试数据:
输入仅一行,两个整数 n,kn,k
T\leq10^3T≤103,n,k\leq 10^{12}n,k≤1012,\sum n\leq 10^{12}∑n≤1012,\sum k\leq 10^{12}∑k≤1012
Output
对于每组测试数据:
输出G_k(n) \mod 1e9+7Gk(n)mod1e9+7。
Sample Input 1
2 7 5 10 2
Sample Output 1
1 4
Sample Input 2
2 3 1 1 1
Sample Output 2
2 1
源码:
#include<bits/stdc++.h>
#define fi first
#define se second
#define mid (l+r>>1)
#define endl '\n'
using namespace std;
typedef long long ll;
typedef pair<int, int>pii;
typedef vector<int>vi;
struct tri {int a, b, c;};
const int N = 5e6 + 10;
const int inf = 0x3f3f3f3f;
const ll linf = 0x3f3f3f3f3f3f3f3f;
const ll mod = 1e9 + 7;
ll prime[N];
ll f(ll a)
{
ll ret=1;
for(int i=1;prime[i]*prime[i]<=a;i++)if(a%prime[i]==0)
{
while(a%prime[i]==0)
{
a/=prime[i];
ret*=prime[i];
}
ret/=prime[i];
ret*=prime[i]-1;
}
if(a!=1)ret*=a-1;
return ret;
}
ll solve()
{
ll n,k;cin>>n>>k;
if(n==0)return 0;
if(k==0)return n;
k=(k+1)/2;
for(int i=0;i<k;i++)
{
n=f(n);
if(n==1)return 1;
}
return n%mod;
}
void getPrime()
{
for(int i=2; i<N; i++)if(!prime[i])
{
prime[++prime[0]]=i;
if(i<N/i)for(int j=i*i; j<N; j+=i)
prime[j]=1;
}
}
int main()
{
ios::sync_with_stdio(0), cin.tie(0);
// freopen("in.txt", "r", stdin);
getPrime();
// for(int i=1;i<=100;i++)
// cout<<prime[i]<<endl;
// for(int i=1;i<=100;i++)
// cout<<i<<' '<<f((ll)10000000000+i)<<endl;
int _;
cin>>_;
while(_--)
{
cout<<solve()<<endl;
}
return 0;
}

2894

被折叠的 条评论
为什么被折叠?



