
系列索引 : 【刷题笔记0】系列目录索引(持续更新 & 推荐收藏)
本题题目: LeetCode 206. 反转链表
分类: 链表, 遍历, 思维
难度: 简单
老规矩,先上AC图:
题目:
206. 反转链表(点击直达原网站)

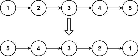
示例 1:

输入:head = [1,2,3,4,5] 输出:[5,4,3,2,1]
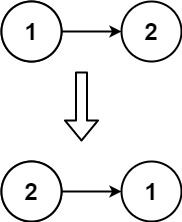
示例 2:

输入:head = [1,2] 输出:[2,1]
示例 3:
输入:head = [] 输出:[]
提示:
链表中节点的数目范围是 [0, 5000]
-5000 <= Node.val <= 5000
进阶:链表可以选用迭代或递归方式完成反转。你能否用两种方法解决这道题?
题解:
注意事项:
- 在写链表题涉及到开合键的操作,一定要在纸上把过程先画出来,再写程序!
- 当用到 node -> next时要有意识的先判断node -> next是否存在,不要越界;不然就runtime error!
- 注意最后的终止条件!
解法一: 遍历迭代
时间复杂度: O(N); 空间复杂度: O(1).
这种方法也是最经典的解法,就是从头开始,在遍历链表时,将当前节点的next 指针改为指向前一个节点,比如 2 ->3, 改为2 -> 1;
由于前一个节点没法直接寻找,因此需要定义一个指针,在遍历过程中就事先存储其前一个节点。在更改 -> next 引用之前,还需要定义一个指针存储后一个节点, 防止后面结点丢失。
最后返回新的头引用(最后一个结点)
过程如图:(图源 【反转链表】:双指针,递归,妖魔化的双指针)

代码如下:
/**
* Definition for singly-linked list.
* struct ListNode {
* int val;
* ListNode *next;
* ListNode() : val(0), next(nullptr) {}
* ListNode(int x) : val(x), next(nullptr) {}
* ListNode(int x, ListNode *next) : val(x), next(next) {}
* };
*/
class Solution {
public:
ListNode* reverseList(ListNode* head) {
ListNode* pre = nullptr;
ListNode* node = head;
while(node != nullptr){
ListNode* bar = node -> next;
node -> next = pre;
pre = node;
node = bar;
}
return pre;
}
};

但是通过上面的代码分析,while中定义的bar是否多余?是否可以更近一步?
通过图可以知道,head结点在第一次更改后 -> next 就指向null了,其实这个是可以利用起来的,用来指向node后的结点,在最后再更新成null,省下一个结点的定义。
过程如图:

代码如下:
/**
* Definition for singly-linked list.
* struct ListNode {
* int val;
* ListNode *next;
* ListNode() : val(0), next(nullptr) {}
* ListNode(int x) : val(x), next(nullptr) {}
* ListNode(int x, ListNode *next) : val(x), next(next) {}
* };
*/
class Solution {
public:
ListNode* reverseList(ListNode* head) {
if(head == nullptr) return head;
ListNode* pre = head;
ListNode* node = head -> next;
while(node != nullptr){
head -> next = node -> next;
node -> next = pre;
pre = node;
node = head -> next;
}
return pre;
}
};

解法二: 递归
时间复杂度O(N),空间复杂度O(N)主要取决于递归调用的栈空间,最多为 N 层。
递归的方法不太好理解,但是这道题用递归是完美的利用了递归的特性,非常妙。
- 使用递归函数,一直递归到链表的最后一个结点,该结点就是反转后的头结点,记作 ret .
- 此后,每次函数在返回的过程中,让当前结点的下一个结点的 next 指针指向当前节点。
- 同时让当前结点的 next 指针指向 NULL ,从而实现从链表尾部开始的局部反转
- 当递归函数全部出栈后,链表反转完成。

代码如下:
class Solution {
public:
ListNode* reverseList(ListNode* head) {
if (head == NULL || head->next == NULL) {
return head;
}
ListNode* ret = reverseList(head->next);
head->next->next = head;
head->next = NULL;
return ret;
}
};
解法三: 辅助存储(取巧做法)
时间复杂度O(N),空间复杂度O(N)
这种做法就是偏向于一种取巧做法,和链表的特性无关,这里不再赘述。
主要过程:
- 先定义一个容器用来存储链表数值。(栈或者数组);
- 之后先遍历一遍,获取数值,存进去。
- 之后再遍历一遍,将之前获取的数值重新赋值到原链表。(栈就顺序出栈,数组就倒序输出)
上一篇: 从B站 (哔哩哔哩) 泄露的源码里发现了B站视频推荐的秘密
下一篇: 400+条实用C/C++框架、库、工具整理 ,你能想到的都在这里了
如果有什么要补充的,欢迎下方👇评论区留言~
1份赞许 = 100分的认可,如果感觉还不错,点个赞👍 支持一下吧 ~
不定期分享 有趣、有料、有营养内容,欢迎 订阅关注 🤝 我的博客 ,期待在这与你相遇 ~
399

被折叠的 条评论
为什么被折叠?



