1.介绍

不同方案生成定向proposals的比较。(a)旋转RPN密集放置不同尺度、比例和角度的旋转锚点。(b)水平RoI的RoI Transformer+学习型方案。它包括RPN、RoI对齐和回归。(c)我们建议的面向RPN以几乎零成本的方式产生高质量的建议。定向RPN的参数数约为RoI Transformer+的1/3000和旋转RPN的1/15。
目前最先进的两级detector通过耗时的方案产生定向proposals。这降低了detector的速度,成为面向先进目标检测系统的计算瓶颈。本文提出了一种有效而简单的面向对象检测框架,称为Oriented R-CNN,它是一种通用的两级面向对象检测框架,具有良好的检测精度和效率。具体来说,在第一阶段,我们提出了一个面向ROI网络(面向RPN),它可以直接以几乎零成本的方式生成高质量的ROI。第二阶段是定向的R-CNN头,提炼定向roi并进行识别。orient R-CNN ResNet50达到最先进的detection精度。
DOTA上达到了75.87%的mAP,在HRSC2016上达到了96.50%的mAP。
Oriented R-CNN在backbone产生feature_map后主要分为两个阶段,第一个阶段是Orieated RPN该阶段的回归branch中增加了两个回归参数。并且,本文提出了midpoint offset (中心点偏移)的方法来表示proposal。第二阶段是Orieated R-CNN detection head,利用rotated RoI alignment从每个proposal中提取固定大小的特征向量来进行分类和回归。
2.方法
图片输入之后,经过backbone生成特征图,将特征图送入oriented RPN中,生成一系列的高质量的oriented proposals,再将这些proposals和特征图一块送入第二阶段的oriented R-CNN Head中,对每个proposal进行变形(固定大小的特征向量)后送入FC层,最后经过两个分支输出分类结果和位置回归结果。




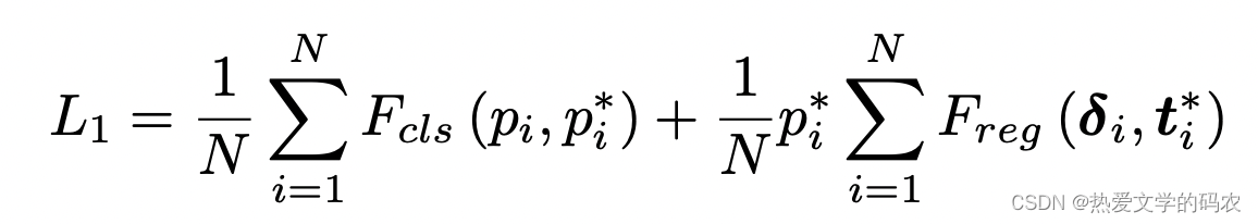
Loss Function
每个anchor都设置一个binary label记为p,用来标记是正样本(1)还是负样本(0)。
正样本:(i) IoU>=0.3 && 对某一 GT box有最大的IOU。(ii) 与任意一个GT Box的IOU>=0.7
负样本:IOU<0.3
else 不是正样本也不是负样本。
(注:GT box是oriented bbox的外接矩形框)
Loss function 定义如下

其中前半部分是分类损失,p和p*分别是实际值和预测值,Fcls是交叉熵损失。后半部分是回归损失,Freg是 Smooth L1 损失。
proposals的选择
在oriented RPN阶段,为了减少proposal的数量,已减小计算量。本文在每个level的特征图上选择了2000个proposals,并进行NMS。
通过proposal可以计算出预测框的四个点v1-v4,然后要想办法将这个框映射到每一level的特征图上。
首先选择短对角线。然后再利用SPPnet中的思想,通过不停地池化,将映射在特征图上的红框变成固定大小m*m的特征向量。这样每个proposal就能得到一个固定大小的特征向量,便于后面送入FC中进行分类和回归。
3.实验


1085

被折叠的 条评论
为什么被折叠?



