双边滤波:
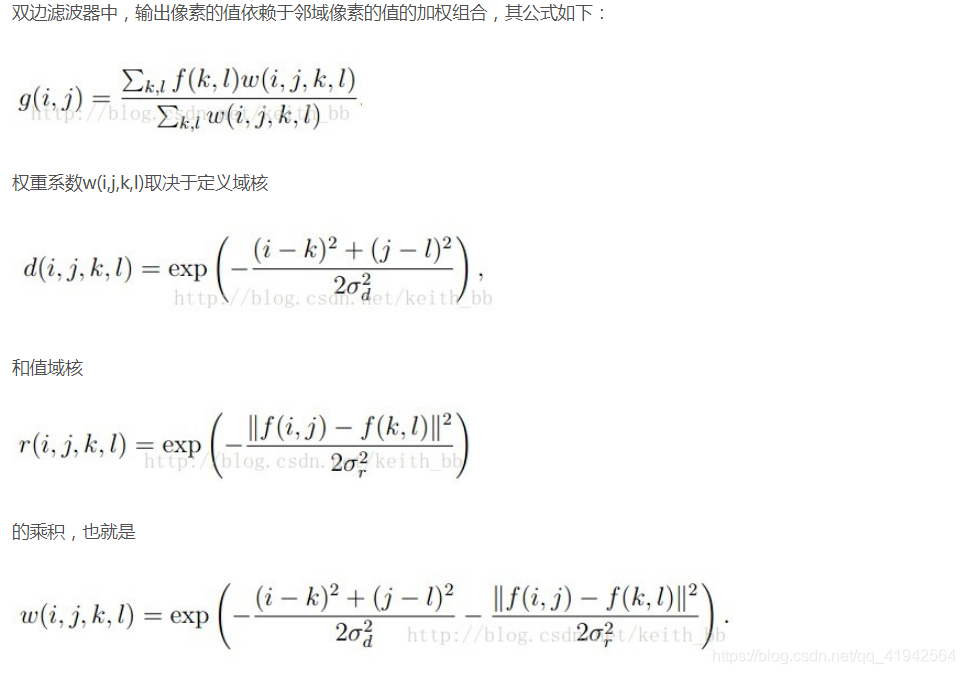
双边滤波的权重不仅考虑了像素的欧氏距离(如普通的高斯低通滤波,只考虑了位置对中心像素的影响),还考虑了像素范围域中的辐射差异(例如卷积核中像素与中心像素之间相似程度、颜色强度,深度距离等),在计算中心像素的时候同时考虑这两个权重。

双边滤波的核函数是空间域核与像素范围域核的综合结果:


代码展示:
#include "pch.h"
#include <iostream>
#include "opencv2/opencv.hpp"
using namespace std;
using namespace cv;
int main()
{
Mat src = imread("F:\\visual studio\\Image\\women4.jpg");
if (src.empty())
{
cout << "Can't load the image" << endl;
return -1;
}
imshow("src", src);
Mat dst;
bilateralFilter(src, dst, 10, 40,3);
imshow("dst", dst);
waitKey(0);
}
效果如下:

2880

被折叠的 条评论
为什么被折叠?



