实验题目
1、通过fork的方式,产生4个进程P1,P2,P3,P4,每个进程打印输出自己的名字,例如P1输出“I am the process P1”。要求P1最先执行,P2、P3互斥执行,P4最后执行。通过多次测试验证实现是否正确。
2、火车票余票数ticketCount 初始值为1000,有一个售票线程,一个退票线程,各循环执行多次。添加同步机制,使得结果始终正确。要求多次测试添加同步机制前后的实验效果。(说明:为了更容易产生并发错误,可以在适当的位置增加一些pthread_yield(),放弃CPU,并强制线程频繁切换,例如售票线程的关键代码:
temp=ticketCount;
pthread_yield();
temp=temp-1;
pthread_yield();
ticketCount=temp;
退票线程的关键代码:
temp=ticketCount;
pthread_yield();
temp=temp+1;
pthread_yield();
ticketCount=temp;
3、一个生产者一个消费者线程同步。设置一个线程共享的缓冲区, char buf[10]。一个线程不断从键盘输入字符到buf,一个线程不断的把buf的内容输出到显示器。要求输出的和输入的字符和顺序完全一致。(在输出线程中,每次输出睡眠一秒钟,然后以不同的速度输入测试输出是否正确)。要求多次测试添加同步机制前后的实验效果。
4、进程通信问题。
阅读并运行共享内存、管道、消息队列三种机制的代码。
(参见
https://www.cnblogs.com/Jimmy1988/p/7706980.html
https://www.cnblogs.com/Jimmy1988/p/7699351.html
https://www.cnblogs.com/Jimmy1988/p/7553069.html )
实验测试a)通过实验测试,验证共享内存的代码中,receiver能否正确读出sender发送的字符串?如果把其中互斥的代码删除,观察实验结果有何不同?如果在发送和接收进程中打印输出共享内存地址,他们是否相同,为什么?b)有名管道和无名管道通信系统调用是否已经实现了同步机制?通过实验验证,发送者和接收者如何同步的。比如,在什么情况下,发送者会阻塞,什么情况下,接收者会阻塞?c)消息通信系统调用是否已经实现了同步机制?通过实验验证,发送者和接收者如何同步的。比如,在什么情况下,发送者会阻塞,什么情况下,接收者会阻塞?
5、阅读Pintos操作系统,找到并阅读进程上下文切换的代码,说明实现的保存和恢复的上下文内容以及进程切换的工作流程。
实验过程
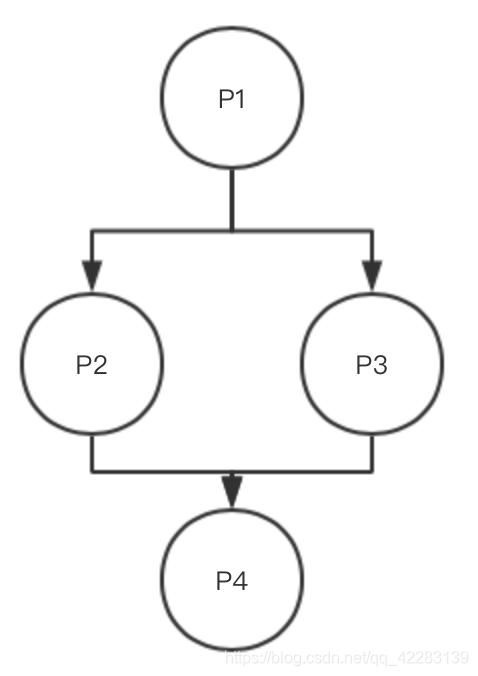
1、 根据实验要求可以看出,P1最先输出,P4最后输出。P2和P3位于P1和P4中间输出,两者顺序没有要求,只要互斥即可。
执行过程中,p1无条件最先执行,无需控制。p2和p33需要等待来自p1的信号,当p1执行完毕后,p2和p3才可以执行。同样,p4要等待来自p2和p3的信号,待两者均执行完后才能执行。
前趋图如下

代码如下
#include <pthread.h>
#include <fcntl.h>
#include <sys/stat.h>
#include <semaphore.h>
#include <sys/types.h>
#include <unistd.h>
#include <stdio.h>
#include <stdlib.h>
sem_t* sem1 = NULL;
sem_t* sem4 = NULL;
sem_t* sem2 = NULL;
int main(){
pid_t p,p_pid;
sem1 = sem_open("1", O_CREAT, 0666, 0);
sem4 = sem_open("4", O_CREAT, 0666, 0);
sem2 = sem_open("2", O_CREAT, 0666, 0);
p_pid = getpid();
p = fork();
p = fork();
if (p>0){
if(getpid() != p_pid){
p=fork();
if(p==0){
sem_wait(sem1);
se

本次实验涉及操作系统中的进程同步与通信,包括通过fork创建进程、线程同步(如互斥锁)以及多种进程通信方式(共享内存、管道、消息队列)。实验通过具体的例子,如火车票售卖、生产者消费者问题等,演示了同步机制的重要性,并验证了共享内存、有名管道、无名管道和消息队列的同步效果。同时,研究了Pintos操作系统的上下文切换过程。
最低0.47元/天 解锁文章
1119

被折叠的 条评论
为什么被折叠?



