最多的方案 HYSBZ - 2660
现在给一个正整数 n,它可以写成一些斐波那契数的和的形式。如果我们要求不同的方案中不能有相同的斐波那契数,那么对一个 n 最多可以写出多少种方案呢?
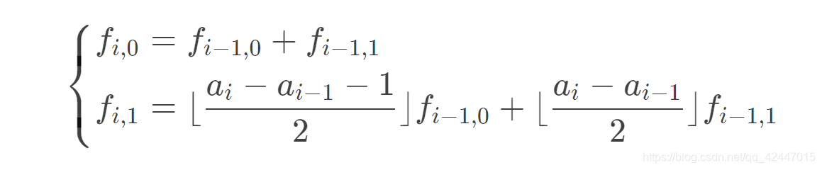
考虑将数n分解成齐肯多夫形式,然后拆分成段逐位向下分解,显然每一段的贡献是坐标差/2向下取整。因为可能会出现段之间的0影响实际分解情况,所以用dp记录一下每个位置有没有分解。
递推式:

#include <bits/stdc++.h>
#define ll long long
using namespace std;
const int maxn = 110;
ll f[maxn];
int pos[maxn], g[maxn][2];
int main() {
ll n;
cin >> n;
f[1] = 1, f[2] = 2;
int m;
for (m = 3; f[m - 1] <= n; m++)
f[m] = f[m - 1] + f[m - 2];
// cout << cnt <<' '<<f[cnt-1];//84 160500643816367088
--m;
//齐肯多夫分解
int cnt = 0;
for (int i = m; i >= 1; i--)
if (n >= f[i]) {
n -= f[i];
pos[++cnt] = i;
}
sort(pos + 1, pos + 1 + cnt);
//dp
g[1][1] = 1, g[1][0] = pos[1] - 1 >> 1;
for (int i = 2; i <= cnt; i++) {
g[i][1] = g[i - 1][0] + g[i - 1][1];
g[i][0] = g[i - 1][0] * (pos[i] - pos[i - 1] >> 1) + g[i - 1][1] * (pos[i] - pos[i - 1] - 1 >> 1);
}
cout << g[cnt][0] + g[cnt][1];
}
本文探讨了如何将一个正整数n分解为不同斐波那契数之和的问题,通过齐肯多夫形式分解并使用动态规划方法计算最多可能的组合数。递推式与代码实现详细解析。
15

被折叠的 条评论
为什么被折叠?



