qq_42542299
码龄6年
关注
提问 私信
  • 博客:282
    282
    总访问量
  • 1
    原创
  • 1,130,105
    排名
  • 0
    粉丝
  • 0
    铁粉

个人简介:写不完

IP属地以运营商信息为准,境内显示到省(区、市),境外显示到国家(地区)
IP 属地:山东省
  • 加入CSDN时间: 2018-06-25
博客简介:

qq_42542299的博客

查看详细资料
个人成就
  • 获得0次点赞
  • 内容获得1次评论
  • 获得0次收藏
创作历程
  • 1篇
    2023年
成就勋章
创作活动更多

HarmonyOS开发者社区有奖征文来啦!

用文字记录下您与HarmonyOS的故事。参与活动,还有机会赢奖,快来加入我们吧!

0人参与 去创作
  • 最近
  • 文章
  • 代码仓
  • 资源
  • 问答
  • 帖子
  • 视频
  • 课程
  • 关注/订阅/互动
  • 收藏
搜TA的内容
搜索 取消

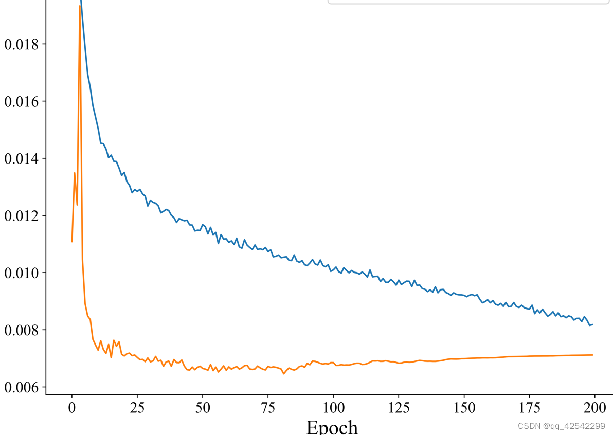
验证损失低于训练损失是正常的吗,而且后面验证损失就上升了……

关于训练损失和验证损失
原创
发布博客 2023.07.07 ·
282 阅读 ·
0 点赞 ·
1 评论 ·
0 收藏