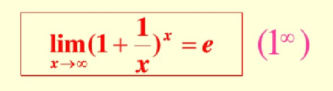
两个重要极限 常用等价无穷下小 泰勒展开 麦克劳林公式
最新推荐文章于 2024-09-29 12:33:30 发布
755
3万+
4174
3万+
8万+

被折叠的 条评论
为什么被折叠?