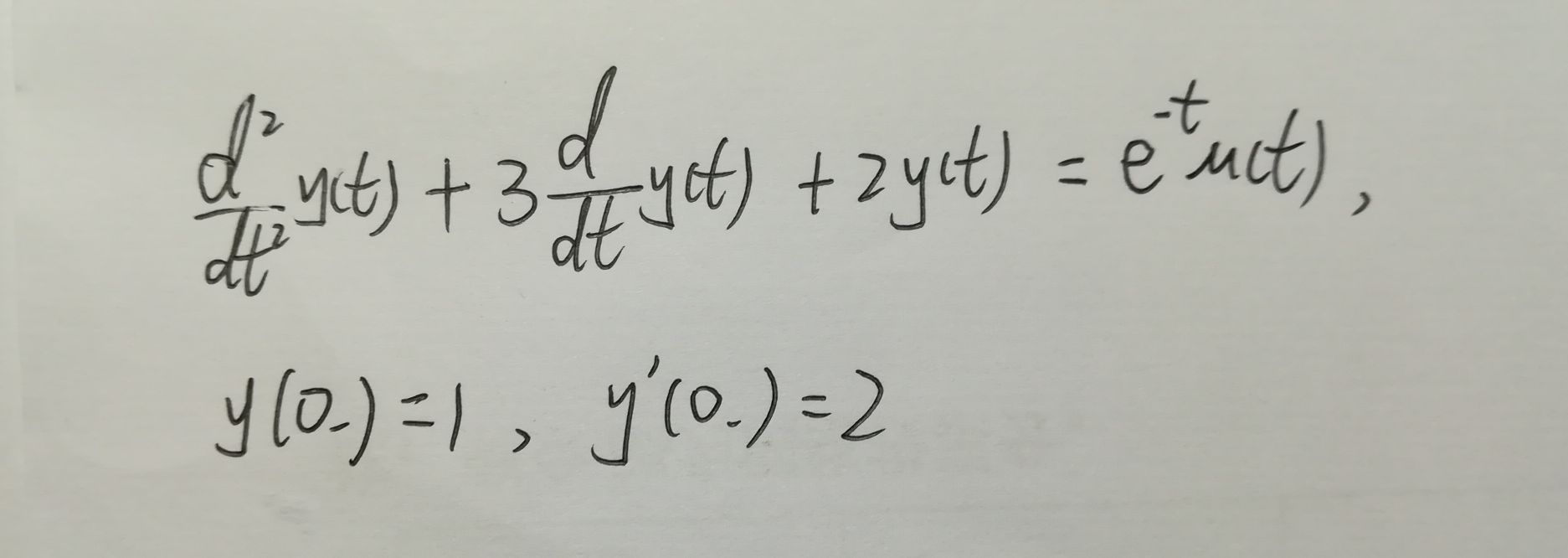
1.问题:求系统的零状态响应

2.引入
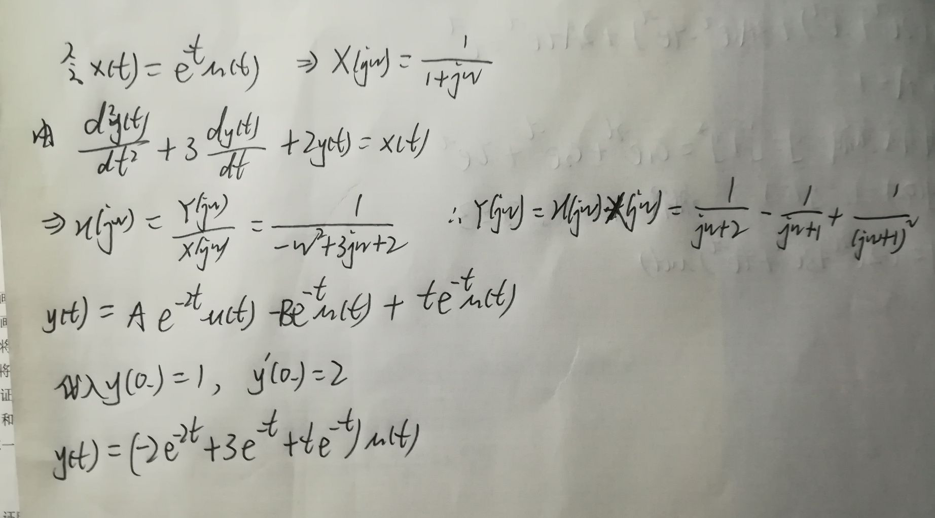
首先用高数知识求解非齐次常系数微分方程
再利用信号与系统中冲激响应求解验证

利用MATLAB求解验证
y=dsolve('D2y+3*Dy+2*y=exp(-t)','y(0)=1','Dy(0)=2','t')
得出结果:
y =
(t - 2 exp(-t) + 3) exp(-t)
根据结果检验,上述手动计算与实际计算机得出结果一致。
t=0:0.1:20;
y = (t - 2 .*exp(-t) + 3) .*exp(-t);
y1=-exp(-t) .*(t - 2 .*exp(-t) + 3) + exp(-t).* (1 + 2.* exp(-t));
plot(t,y,'r-',t,y1,'b-'),legend('y','y’')
用MATLAB模拟图像结果:

3.利用Python求解该方程
通过上述计算,我们利用Python求解系统的零状态响应:
库函数准备
scipy
sympy
matplotlib
numpy
利用sympy进行符号解法
from sympy import *
init_printing()
#定义符号常量x 与 f(x)
x = Symbol('x')
f = symbols('f', cls=Function)
#用diffeq代表微分方程: f''(x) + 3f'(x) + 2f(x) = exp(-x)
diffeq = Eq(f(x).diff(x, x) + 3*f(x).diff(x) + 2*f(x), exp(-x))
#调用dsolve函数,返回一个Eq对象,hint控制精度
print(dsolve(diffeq, f(x)))
得到符号解,输出如下
Eq(f(x), (C1 + C2*exp(-x) + x)*exp(-x))
在带入初始松弛条件:
C1=-2
C2=3
结果与我们计算结果一致。
利用Numpy和Scipy进行数值解法
import matplotlib.pyplot as plt
from scipy import linspace,exp
from scipy.integrate import odeint, solve_bvp, solve_ivp
import numpy as np
'''
为了兼容solve_ivp的参数形式,微分方程函数定义的参数顺序为(t,y),因此使用odeint函数时需要使参数tfirst=True
二阶甚至高阶微分方程组都可以变量替换成一阶方程组的形式,再调用相关函数进行求解,因此编写函数的时候,不同于一阶微分方程,二阶或者高阶微分方程返回的是低阶到高阶组成的方程组,
'''
def fvdp1(t,y):
'''
要把y看出一个向量,y = [dy0,dy1,dy2,...]分别表示y的n阶导,那么
y[0]就是需要求解的函数,y[1]表示一阶导,y[2]表示二阶导,以此类推
'''
dy1 = y[1] # y[1]=dy/dt,一阶导
dy2 = -3 * y[1] - 2 * y[0] + exp( -1 * t )
# y[0]是最初始,也就是需要求解的函数
# 注意返回的顺序是[一阶导, 二阶导],这就形成了一阶微分方程组
return [dy1,dy2]
# 或者下面写法更加简单
def fvdp2(t,y):
'''
要把y看出一个向量,y = [dy0,dy1,dy2,...]分别表示y的n阶导
对于二阶微分方程,肯定是由0阶和1阶函数组合而成的,所以下面把y看成向量的话,y0表示最初始的函数,也就是我们要求解的函数,y1表示一阶导,对于高阶微分方程也可以以此类推
'''
y0, y1 = y
# y0是需要求解的函数,y1是一阶导
# 返回的顺序是[一阶导, 二阶导],这就形成了一阶微分方程组
dydt = [y1, -3*y1-2*y0+exp(-t)]
return dydt
def solve_second_order_ode():
'''
求解二阶ODE
'''
t2 = linspace(0,20,1000)
tspan = (0, 20.0)
y0 = [1.0, 2.0] # 初值条件
# 初值[2,0]表示y(0)=2,y'(0)=0
# 返回y,其中y[:,0]是y[0]的值,就是最终解,y[:,1]是y'(x)的值
y = odeint(fvdp1, y0, t2, tfirst=True)
y_ = solve_ivp(fvdp2, t_span=tspan, y0=y0, t_eval=t2)
plt.subplot(211)
y1, = plt.plot(t2,y[:,0],label='y')
y1_1, = plt.plot(t2,y[:,1],label='y‘')
plt.legend(handles=[y1,y1_1])
plt.subplot(212)
y2, = plt.plot(y_.t, y_.y[0,:],'g--',label='y(0)')
y2_2, = plt.plot(y_.t, y_.y[1,:],'r-',label='y(1)')
plt.legend(handles=[y2,y2_2])
plt.show()
solve_second_order_ode()
结果:

3225

被折叠的 条评论
为什么被折叠?



