链表基础
类别
1、合并两个有序链表
2、合并 k 个有序链表
3、寻找单链表的倒数第 k 个节点
4、寻找单链表的中点
5、判断单链表是否包含环并找出环起点
6、判断两个单链表是否相交并找出交点
21. 合并两个有序链表
题解:
# Definition for singly-linked list.
# class ListNode:
# def __init__(self, val=0, next=None):
# self.val = val
# self.next = next
class Solution:
def mergeTwoLists(self, list1: Optional[ListNode], list2: Optional[ListNode]) -> Optional[ListNode]:
node = ListNode()
curr = node
while list1 and list2:
if list1.val < list2.val:
curr.next = list1
list1 = list1.next
else:
curr.next = list2
list2 = list2.next
curr = curr.next
if list1:
curr.next = list1
if list2:
curr.next = list2
return node.next
141. 环形链表
分析:
- 环形链表的存在必然会有快慢指针的未来相遇,循环终止条件即快指针先变成了None
题解:
# Definition for singly-linked list.
# class ListNode:
# def __init__(self, x):
# self.val = x
# self.next = None
class Solution:
def hasCycle(self, head: Optional[ListNode]) -> bool:
fast = head
slow = head
while fast:
if not fast.next:
return False
else:
fast = fast.next.next
slow = slow.next
if fast == slow:
return True
return False
142. 环形链表 II
给定一个链表的头节点 head ,返回链表开始入环的第一个节点。 如果链表无环,则返回 null。
如果链表中有某个节点,可以通过连续跟踪 next 指针再次到达,则链表中存在环。 为了表示给定链表中的环,评测系统内部使用整数 pos 来表示链表尾连接到链表中的位置(索引从 0 开始)。如果 pos 是 -1,则在该链表中没有环。注意:pos 不作为参数进行传递,仅仅是为了标识链表的实际情况。
不允许修改 链表。
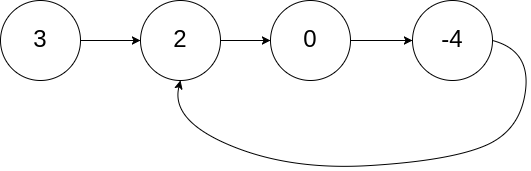
示例 1:

输入:head = [3,2,0,-4], pos = 1
输出:返回索引为 1 的链表节点
解释:链表中有一个环,其尾部连接到第二个节点。
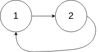
示例 2:

输入:head = [1,2], pos = 0
输出:返回索引为 0 的链表节点
解释:链表中有一个环,其尾部连接到第一个节点。
示例 3:
输入:head = [1], pos = -1
输出:返回 null
解释:链表中没有环。
提示:
链表中节点的数目范围在范围 [0, 104] 内
-10^5 <= Node.val <= 10^5
pos 的值为 -1 或者链表中的一个有效索引
分析:先判断是否有环,再确定初始交点的位置
题解:
# Definition for singly-linked list.
# class ListNode:
# def __init__(self, x):
# self.val = x
# self.next = None
class Solution:
def detectCycle(self, head: ListNode) -> ListNode:
fast = head
slow = head
while fast and fast.next:
fast = fast.next.next
slow = slow.next
if fast == slow:
break
if not fast or not fast.next:
return None
slow = head
while slow != fast:
slow = slow.next
fast = fast.next
return slow
876. 链表的中间结点
给定一个头结点为 head 的非空单链表,返回链表的中间结点。
如果有两个中间结点,则返回第二个中间结点。
示例 1:
输入:[1,2,3,4,5]
输出:此列表中的结点 3 (序列化形式:[3,4,5])
返回的结点值为 3 。 (测评系统对该结点序列化表述是 [3,4,5])。
注意,我们返回了一个 ListNode 类型的对象 ans,这样:
ans.val = 3, ans.next.val = 4, ans.next.next.val = 5, 以及 ans.next.next.next = NULL.
示例 2:
输入:[1,2,3,4,5,6]
输出:此列表中的结点 4 (序列化形式:[4,5,6])
由于该列表有两个中间结点,值分别为 3 和 4,我们返回第二个结点。
提示:
给定链表的结点数介于 1 和 100 之间。
分析:
- 分奇偶来讨论双指针问题
题解:
# leetcode submit region begin(Prohibit modification and deletion)
# Definition for singly-linked list.
# class ListNode(object):
# def __init__(self, val=0, next=None):
# self.val = val
# self.next = next
class Solution(object):
def middleNode(self, head):
"""
:type head: ListNode
:rtype: ListNode
"""
if not head:
return None
fast = head
slow = head
while fast and fast.next:
fast = fast.next.next
slow = slow.next
return slow
总结:对于链表成环或相似问题,一般采用快指针和慢指针进行分析解题
160. 相交链表
分析:本题的思路巧妙,将两个链表分别连接到另一个链表后面,那么第一个相等的位置便是交点
题解:
# Definition for singly-linked list.
# class ListNode:
# def __init__(self, x):
# self.val = x
# self.next = None
class Solution:
def getIntersectionNode(self, headA: ListNode, headB: ListNode) -> ListNode:
l1 = headA
l2 = headB
while l1 or l2:
if not l1: l1 = headB
if not l2: l2 = headA
if l1 == l2: return l1
l1 = l1.next
l2 = l2.next
递归反转链表问题
- 反转链表
- 反转链表前N的元素
- 反转链表其中一部分
206. 反转链表
分析:
- 对于链表反转,分析一下需要肯定需要一个指针指向当前node的前一个节点,一个用来指向当前节点用来遍历,由于链表是单向的,改变当前节点的next指向会让下一个节点丢失,因此需要再定义一个临时变量,用来存储当前节点的下一个节点。注意最后终止条件是cur指向None,此时pre便是新的链表的头节点
题解:
- 方法一:
# Definition for singly-linked list.
# class ListNode:
# def __init__(self, val=0, next=None):
# self.val = val
# self.next = next
class Solution:
def reverseList(self, head: ListNode) -> ListNode:
if not head:
return None
pre = None
cur = head
while cur:
temp = cur.next
cur.next = pre
pre = cur
cur = temp
return pre
- 方法二:递归求解
# Definition for singly-linked list.
# class ListNode:
# def __init__(self, val=0, next=None):
# self.val = val
# self.next = next
class Solution:
def reverseList(self, head: ListNode) -> ListNode:
if not head or not head.next:
return head
last = self.reverseList(head.next)
head.next.next = head
head.next= None
return last
- 理解递归过程:





92. 反转链表 II
给你单链表的头指针 head 和两个整数 left 和 right ,其中 left <= right 。请你反转从位置 left 到位置 right 的链表节点,返回 反转后的链表 。
示例 1:

输入:head = [1,2,3,4,5], left = 2, right = 4
输出:[1,4,3,2,5]
示例 2:
输入:head = [5], left = 1, right = 1
输出:[5]
提示:
链表中节点数目为 n
1 <= n <= 500
-500 <= Node.val <= 500
1 <= left <= right <= n
分析:

题解:
# Definition for singly-linked list.
# class ListNode:
# def __init__(self, val=0, next=None):
# self.val = val
# self.next = next
class Solution:
def reverseBetween(self, head: ListNode, left: int, right: int) -> ListNode:
if not head:
return head
dummy = ListNode()
pre = dummy
pre.next = head
for i in range(1, left):
pre = pre.next
cur = pre.next
for i in range(left, right):
future = cur.next
cur.next = future.next
future.next = pre.next
pre.next = future
return dummy.next
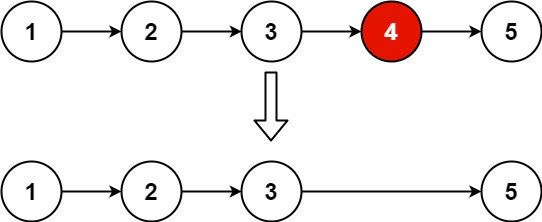
19. 删除链表的倒数第 N 个结点
给你一个链表,删除链表的倒数第 n 个结点,并且返回链表的头结点。
示例 1:

输入:head = [1,2,3,4,5], n = 2
输出:[1,2,3,5]
示例 2:
输入:head = [1], n = 1
输出:[]
示例 3:
输入:head = [1,2], n = 1
输出:[1]
提示:
链表中结点的数目为 sz
1 <= sz <= 30
0 <= Node.val <= 100
1 <= n <= sz
分析:双指针,第一个指针先走n步,第二个再走,第一个到了,第二个便指向倒数第n个指针
题解:
class Solution(object):
def removeNthFromEnd(self, head, n):
"""
:type head: ListNode
:type n: int
:rtype: ListNode
"""
if not head or not head.next:
return None
dummy = ListNode()
cur = dummy
fast = head
slow = head
cur.next = slow
for i in range(n):
fast = fast.next
while fast:
fast = fast.next
slow = slow.next
cur = cur.next
cur.next = slow.next
return dummy.next
25. K 个一组翻转链表
给你一个链表,每 k 个节点一组进行翻转,请你返回翻转后的链表。
k 是一个正整数,它的值小于或等于链表的长度。
如果节点总数不是 k 的整数倍,那么请将最后剩余的节点保持原有顺序。
进阶:
你可以设计一个只使用常数额外空间的算法来解决此问题吗?
你不能只是单纯的改变节点内部的值,而是需要实际进行节点交换。
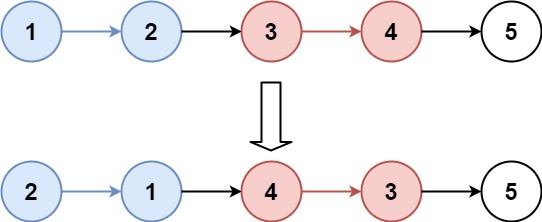
示例 1:

输入:head = [1,2,3,4,5], k = 2
输出:[2,1,4,3,5]
示例 2:

输入:head = [1,2,3,4,5], k = 3
输出:[3,2,1,4,5]
示例 3:
输入:head = [1,2,3,4,5], k = 1
输出:[1,2,3,4,5]
示例 4:
输入:head = [1], k = 1
输出:[1]
提示:
列表中节点的数量在范围 sz 内
1 <= sz <= 5000
0 <= Node.val <= 1000
1 <= k <= sz
分析:
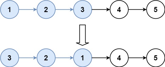
- 链表反转通用方法:尾插法,效率较低,但是很容易理解
- 我们用tail 移到要翻转的部分最后一个元素
- 我们尾插法的意思就是,依次把cur移到tail后面,循环执行下去
题解:
# Definition for singly-linked list.
# class ListNode:
# def __init__(self, val=0, next=None):
# self.val = val
# self.next = next
class Solution:
def reverseKGroup(self, head: Optional[ListNode], k: int) -> Optional[ListNode]:
dummy = ListNode(0)
dummy.next = head
pre = dummy
tail = dummy
while True:
count = k
while count and tail:
count -= 1
tail = tail.next
if not tail: break
head = pre.next
while pre.next != tail:
cur = pre.next # 获取下一个元素
# pre与cur.next连接起来,此时cur(孤单)掉了出来
pre.next = cur.next
cur.next = tail.next # 和剩余的链表连接起来
tail.next = cur #插在tail后面
# 改变 pre tail 的值
pre = head
tail = head
return dummy.next
802

被折叠的 条评论
为什么被折叠?



