一、引入
为了解决局部最优解问题, 1983年,Kirkpatrick等提出了模拟退火算法(SA)能有效的解决局部最优解问题。我们知道在分子和原子的世界中,能量越大,意味着分子和原子越不稳定,当能量越低时,原子越稳定。
二、什么是退火?
‘退火’是物理学术语,指对物体加温在冷却的过程。模拟退火算法来源于晶体冷却的过程,如果固体不处于最低能量状态,给固体加热再冷却,随着温度缓慢下降,固体中的原子按照一定形状排列,形成高密度、低能量的有规则晶体,对应于算法中的全局最优解。而如果温度下降过快,可能导致原子缺少足够的时间排列成晶体的结构,结果产生了具有较高能量的非晶体,这就是局部最优解。因此就可以根据退火的过程,给其在增加一点能量,然后在冷却,如果增加能量,跳出了局部最优解,这本次退火就是成功的。
三、大致过程

比如一开始在A,然后迭代次数更新到B,是一个局部最优解,能力比A要低,当然选择接受他。可是到B之后再下一步能量就上升了,这里就要设置一个概率,去让他继续向前探索。

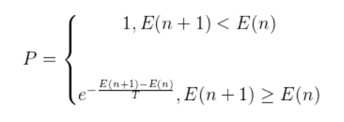
从上式我们可以看到,如果能量减小了,那么这种转移就被接受(概率为1),如果能量增大了,就说明系统偏离全局最优值位置更远了,此时算法不会立刻将其抛弃,而是进行概率操作:首先在区间【0,1】产生一个均匀分布的随机数e,如果e<P,则此种转移接受,否则拒绝转移,进入下一步,往复循环。其中P以能量的变化量和T进行决定概率P的大小,所以这个值是动态的。
四、模拟退火的基本思想:
(1) 初始化:初始温度T(充分大),初始解状态S(是算法迭代的起点),每个T值的迭代次数L
(2) 对k=1, …, L做第(3)至第6步:
(3) 产生新解S′
(4) 计算增量ΔT=C(S′)-C(S),其中C(S)为评价函数
(5) 若ΔT<0则接受S′作为新的当前解,否则以概率exp(-ΔT/T)接受S′作为新的当前解.
(6) 如果满足终止条件则输出当前解作为最优解,结束程序。
终止条件通常取为连续若干个新解都没有被接受时终止算法。
(7) T逐渐减少,且T->0,然后转第2步。
五、模拟退火算法的步骤
模拟退火算法新解的产生和接受可分为如下四个步骤:
5.1第一步
第一步是由一个产生函数从当前解产生一个位于解空间的新解;为便于后续的计算和接受,减少算法耗时,通常选择由当前新解经过简单地变换即可产生新解的方法,如对构成新解的全部或部分元素进行置换、互换等,注意到产生新解的变换方法决定了当前新解的邻域结构,因而对冷却进度表的选取有一定的影响。
5.2第二步
第二步是计算与新解所对应的目标函数差。因为目标函数差仅由变换部分产生,所以目标函数差的计算最好按增量计算。事实表明,对大多数应用而言,这是计算目标函数差的最快方法。
5.3第三步
第三步是判断新解是否被接受,判断的依据是一个接受准则,最常用的接受准则是Metropolis准则: 若ΔT<0则接受S′作为新的当前解S,否则以概率exp(-ΔT/T)接受S′作为新的当前解S。
5.4第四步
第四步是当新解被确定接受时,用新解代替当前解,这只需将当前解中对应于产生新解时的变换部分予以实现,同时修正目标函数值即可。此时,当前解实现了一次迭代。可在此基础上开始下一轮试验。而当新解被判定为舍弃时,则在原当前解的基础上继续下一轮试验。
模拟退火算法与初始值无关,算法求得的解与初始解状态S(是算法迭代的起点)无关;模拟退火算法具有渐近收敛性,已在理论上被证明是一种以概率l 收敛于全局最优解的全局优化算法;模拟退火算法具有并行性。

被折叠的 条评论
为什么被折叠?



