


反常积分(广义积分)存在判别法
最新推荐文章于 2024-01-23 23:28:09 发布
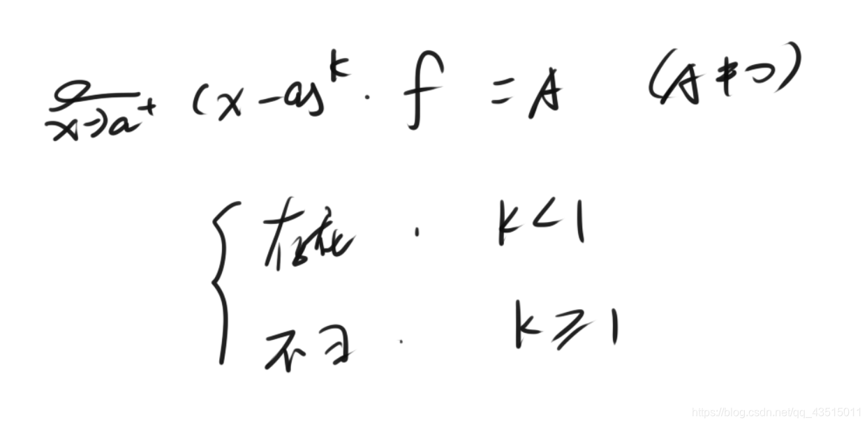
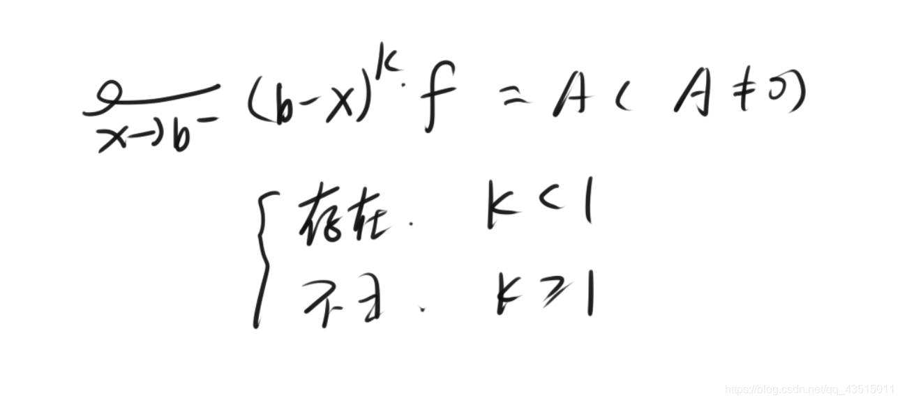
博客主要围绕反常积分(广义积分)存在判别法展开,但具体判别方法等关键内容缺失。反常积分存在判别在数学分析等领域有重要意义,可用于判断积分收敛性等。
博客主要围绕反常积分(广义积分)存在判别法展开,但具体判别方法等关键内容缺失。反常积分存在判别在数学分析等领域有重要意义,可用于判断积分收敛性等。



1万+
8960
2155
1887

被折叠的 条评论
为什么被折叠?