提示:本文是基于吴恩达老师机器学习视频总结
一、数据压缩
降维首先是可以用于数据压缩的,例如将2维数据降维成一维数据,如下图所示:


二、可视化
降维还可以将原本无法可视化的数据通过降维从而进行可视化。
如下图是各国的各项数据,因为特征较多,因此无法进行可视化:

将这50维的数据压缩为2维,之前需要一个向量中50个实数表示一个国家,想在只需要2个实数。


三、PAC问题规划1
我们直观的看一下PAC的效果。

假设我们已经通过算法选择了要投影的线是橙色那条,那么我们可以用蓝色的线绘制出它的投影误差,我们要做的其实就是时投影误差尽可能地小。
为了作出对比,我们绘制了下面一条粉红色的线,可以见到它的投影误差则是比较大的。

假如我们想从2维压缩成1维:那么就需要找到一个向量(方向没有关系),使得数据的投影误差最小。
进行推广,我们可以得到多维压缩的定义。假如我们想从n维压缩成k维:那么就需要找到k个向量u(1)、u(2)、…、u(k),使得数据的投影误差最小。

上图是展示了线性回归和PCA的区别,如图所示:(左图代表线性回归,右图代表PCA)
四、PAC问题规划2
在我们进行PCA处理前,我们首先需要对数据进行预处理。
其中我们需要将数据进行均值归一化 (归一化问题可以看这篇文章),也就是进行下列操作:

下面介绍具体如何使用PCA算法:
现在假设我们需要将n维度的数据降成k维度
1、首先要先计算出协方差,具体表达式如下:(其中σ是一个n*n的矩阵)

2、通过SVD函数计算出协方差σ的特征向量

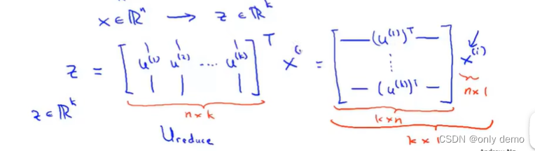
3、我们需要使用的是U矩阵(n*n的矩阵),如下图所示

4、因为我们想降至k维,因此我们就要从U矩阵中取出u(1)~ u(k) ,从而构建新的矩阵(n*k的矩阵),称为Ureduce

5、最后我们要将n维的x降成k维的z,其中z=(Ureduce)TX

五、主成分数量选择
在利用PCA算法的时候,我们需要确定降至的维度k,这个k同样也被称为数据主要成分的数量或者数据的主要成分保留的数量,这一小节就来讨论一下如何选择k。
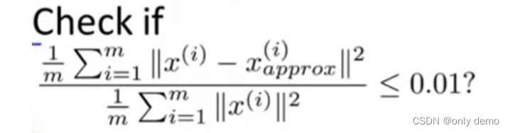
PCA算法主要做的工作就是最小化average squard projection error,也就是要最小化下面这个表达式:

同时,我们还需要定义total variation(可以理解为样本和全零点之间的举例),也就是下面这个表达式:

当我们想要选择k时,通用的原则是选择下面不等式成立的最小k,如下所示:

并且,我们也可以调整0.01这个数字来调整被保留的完整性。上式就表示百分之99的方差被保留了下来。
下面介绍如何完成k选择的算法:
1.我们从k=1开始,使用PCA算法计算这些值
2.然后检查不等式是否成立
3.如果不成立就换k=2,k=3,…,如此继续。假设到k=17时成立了,那么就选择k=17
如此可见,上面这个算法比较麻烦,好在svd方法提供了简便的计算方式。
1.首先我们通过svd算法得到相应的矩阵
2.S矩阵是一个对角矩阵,只有对角线上的数字非零
3.然后我们就开始计算过程,我们可以用下面的表达式代替计算之前的不等式。假设我们计算k=3,分子就是S11、S22、S33求和,分母是全部对角线元素求和。我们要检查的就是它是否小于等于0.01,同样是选择能够满足不等式的最小k
如果这样做,你就只需要调用一次svd,节省了许多时间
六、应用PAC的建议
下面则是介绍了PCA算法在较少数据维度的应用,如下图所示:

基本思想:将原本高维度的数据x降至低维度的z,然后采用z建立模型进行训练。
需要特别注意以下几个方面:
1、PCA算法只能运行在训练集上,在交叉验证集或测试集中同样也是使用训练集建立的映射。(也就是在后面进行预测时要使用测试集计算出来的Ureduce)
2、不要使用PCA去防止过拟合,因此PCA可能会损失一些重要的特征,使用正则化的方法去防止过拟合更有效果
3、如果能够在不使用PCA的情况下计算得到结果,那么就不要使用PCA。如果没办法计算得到(运行性太慢等等情况),再使用PCA。
本文介绍了PCA(主成分分析)的基本原理和应用场景,包括数据压缩、可视化及主成分数量的选择。PCA通过降维实现数据压缩,便于数据可视化和理解。在选择主成分数量时,文章提出了一种基于方差保留比例的策略,并给出了具体的算法步骤。此外,还强调了PCA在模型训练中的注意事项,如仅应用于训练集,避免用于防止过拟合等。
2.然后检查不等式是否成立
3.如果不成立就换k=2,k=3,…,如此继续。假设到k=17时成立了,那么就选择k=17



2060

被折叠的 条评论
为什么被折叠?



