表征标签错误:对噪声标签图像分割的自信学习——Minqing Zhang. MICCAI 2020
卷积神经网络(CNNs)以其强大的拟合能力在图像处理中取得了显著的性能。然而,如果训练数据被噪声标签所破坏,那么结果的性能可能会恶化。在医学图像分析领域,这种困境变得极其严重。这是因为医学图像标注总是需要医学专业知识和临床经验,这必然会引入主观性。在本文中,我们设计了一种基于师生架构的新型算法,用于噪声标签的医学图像分割。创造性地引入自信学习(CL)方法来识别损坏的标签,并赋予CNN对噪声的抗干扰能力。
为了获得一个训练有素的CNN模型,清晰标记的数据是至关重要的,但无噪声标签仍不能得到保证。此外,与自然图像标注主要来自随机误差的噪声不同,医学图像标注的噪声来源广泛。这些来源可以分为两部分。首先,高分辨率医学图像通常需要像素级的手动注释来完成分割任务。这个繁琐的标记过程将不可避免地带来诸如遗漏、错误或不准确的注释等随机噪声。第二,为了加快标签过程,医学专家通常会合作。这种合作会根据不同的临床经验和个人意见,诱发个体主观性。这种主观性也会引入噪声。
本文提出了一种新的方法,赋予医学图像分割任务中存在的噪声模型可解释性和抗干扰能力。具体来说,我们的算法基于师生架构,将CL技术引入到教师模型中,对可疑的错误标记像素进行表征。由于噪声识别图的精度较低,因此采用空间标签平滑正则化(SLSR)技术作为软标签校正方法,用于训练学生模型。在公开JSRT数据集上对算法进行了评估。在噪声标记的图像分割任务中,该方法优于现有方法。这种抗干扰能力随着噪声的增加而更加明显。
我们的方法的流程。该方法由三个部分组成:一个师生体系结构,包含两个细分模型CL和SLSR。首先,利用噪声标记数据训练教师模型;然后,CL模块将从训练集中识别像素级的噪声标签。然后,SLSR将平滑地纠正噪声标签。最后,通过软校正掩模对学生模型进行进一步的监督

分割网络

我们的框架采用U-Net网络和残留块作为分割网络。改进后的U-Net由自顶向下的收缩路径和自底向上的扩展路径组成。收缩路径遵循下采样块和剩余块的重复应用,而扩展路径由重复上采样块和剩余块组成。
U-NET详解:https://blog.csdn.net/qq_33924470/article/details/106891015
残差块:https://zhuanlan.zhihu.com/p/536515871
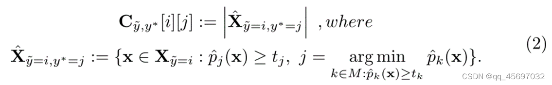
自信学习模块CL

通过这个阈值确定这个样本是标注错误还是是真正的潜在样本,然后通过这些样本来构建混淆矩阵C,它可能属于真正的潜在标签
,最后对混淆矩阵C进行归一化,得到噪声标签和真实标签之间的联合分布Q(我自己瞎理解)
在混淆矩阵C和联合分布Q之后,可以通过以下四个选项发现错误标记的样本集:
1.C的对角线 2.Q中自信心最低的样本 3.两者交集 4.两者并集

空间标签平滑正则化SLSR

主要就是CL平滑纠正噪声标签的功能
实验
为了更好地模拟人工标注过程带来的标签噪声,我们采用了膨胀、腐蚀、边缘失真等多种数字图像处理技术对原始(干净)掩模进行了破坏,如上图所示。为了全面研究我们的算法,我们生成了几个噪声标记的训练集。对于每个训练集,合成噪声标记数据的比例和范围是不同的,它们的出现由两个变量α和β控制。

令人惊讶的是,我们的方法在“原始”数据集上的性能也优于基线方法。为了解释这一点,我们可视化了CL模块生成的噪声标签识别映射(下图)。可以观察到“原始”数据集由于人为错误而不是完全“干净”的。在我们的方法中,这些错误可以被纠正,从而提升戴斯系数。
总结
针对医学图像分割中存在的噪声标签问题,提出了一种两阶段算法。该方法由师生架构、自信学习(CL)模块和空间标签平滑正则化(SLSR)技术组成。这是CL第一次参与到分割任务中。这种基于统计的技术可以通过估计噪声标签和真实标签之间的联合分布来识别训练集中的标签错误。在对噪声进行识别后,SLSR将对噪声标签进行平滑校正,而不是直接将这些重要数据剔除掉。CL模块和SLSR的有效性和必要性得到了大量实验的支持。基于实验结果,我们的模型在噪声水平增加的情况下保持积极的分割性能。该方法在像素级对噪声标签进行识别和校正,而不是直接删除噪声标签。因此,该方法在分割任务上优于现有的方法,可用于校正带有噪声标签的数据集,特别是在处理密集噪声时。
补充:
代码:https://github.com/502463708/Confident_Learning_for_Noisy-labeled_Medical_Image_Segmentation.git

1230

被折叠的 条评论
为什么被折叠?



