【文献浅翻译】HyTE:基于超平面的时间感知知识图谱嵌入

原标题:论文标题


提示:

  1. 因为研究类似的毕设课题,所以翻译的关键部分非全文专业翻译,小白第一次写,供参考,大部分基于Google翻译
  2. 原文pdf链接:https://aclanthology.org/D18-1225.pdf

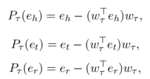
4 提出模型:HyTE

在这里插入图片描述

4.1 时间知识图谱

4.2 预计翻译时间

在这里插入图片描述在这里插入图片描述在这里插入图片描述在这里插入图片描述


5 实验

5.3实体预测

在这里插入图片描述在这里插入图片描述

5.4 关系预测

在这里插入图片描述

5.5 时间范围预测

在这里插入图片描述

6 结果

在这里插入图片描述

6.1 性能分析与比较

在这里插入图片描述在这里插入图片描述在这里插入图片描述

6.2 定性结果

在这里插入图片描述在这里插入图片描述

7 结论

在这里插入图片描述


顺序跟原论文一样,跳过了1 2 3节和5节一些基础理论,基本数据集,基本模型的翻译,其他论坛上也有文章写了基础知识,可以去搜搜

评论
添加红包

请填写红包祝福语或标题

红包个数最小为10个

红包金额最低5元

当前余额3.43前往充值 >
需支付:10.00
成就一亿技术人!
领取后你会自动成为博主和红包主的粉丝 规则
hope_wisdom
发出的红包
实付
使用余额支付
点击重新获取
扫码支付
钱包余额 0

抵扣说明:

1.余额是钱包充值的虚拟货币,按照1:1的比例进行支付金额的抵扣。
2.余额无法直接购买下载,可以购买VIP、付费专栏及课程。

余额充值
>