激活函数的引入是为了增加神经网络模型的非线性,没有激活函数每层就相当于矩阵相乘。每一层输出都是上层的输入的线性函数,无论神经网络多少层,输出都是输入的线性组合,就是最原始的感知机.
加入激活函数,给神经元引入非线性因素,神经网络可以任意逼近任何非线性函数,这样神经网络就可以应用到众多的非线性模型中。
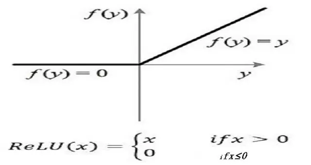
一、ReLU(Rectified Linear Activation Function)
ReLU全名Rectified Linear Unit,意思是修正线性单元。Relu激活函数是常用的神经激活函数。
ReLU函数其实是分段线性函数,把所有的负值都变为0,而正值不变,这种操作被成为单侧抑制。
如图:

1、优点
①ReLu具有稀疏性,可以使稀疏后的模型能够更好地挖

这篇博客总结了深度学习中常用的激活函数,包括ReLU、Sigmoid、Tanh和softmax的优缺点。ReLU因其计算速度快、避免梯度消失而流行,但存在非对称性问题。Sigmoid和Tanh解决了Sigmoid的中心对称性,但梯度消失问题依然存在。softmax用于多分类问题,将输出转换为概率分布。文中还介绍了Leaky ReLU、PReLU和RReLU等修正版ReLU。最后提到了pipeline在深度学习模型实现中的重要作用。
订阅专栏 解锁全文
886

被折叠的 条评论
为什么被折叠?



