1、self-attention
1.1、self-attention结构图

上图是 Self-Attention 的结构,在计算的时候需要用到矩阵 Q(查询), K(键值), V(值)。在实际中,Self-Attention 接收的是输入(单词的表示向量 x组成的矩阵 X) 或者上一个 Encoder block 的输出。而 Q, K, V 正是通过 Self-Attention 的输入进行线性变换得到的。
1.2 Q,K,V的计算
Self-Attention 的输入用矩阵 X进行表示,则可以使用线性变阵矩阵 WQ, WK, WV 计算得到 Q, K, V。计算如下图所示,注意 X, Q, K, V 的每一行都表示一个单词

3.3 Self-Attention 的输出
得到矩阵 Q, K, V之后就可以计算出 Self-Attention 的输出了,计算的公式如下:
公式中计算矩阵 Q和 K 每一行向量的内积,为了防止内积过大,因此除以 dk 的平方根。Q 乘以 K 的转置后,得到的矩阵行列数都为 n,n 为句子单词数,这个矩阵可以表示单词之间的 attention 强度。下图为 Q 乘以 K 的转置,1234 表示的是句子中的单词。

得到 之后,使用 Softmax 计算每一个单词对于其他单词的 attention 系数,公式中的 Softmax 是对矩阵的每一行进行 Softmax,即每一行的和都变为 1。
得到 Softmax 矩阵之后可以和 V相乘,得到最终的输出 Z。
上图中 Softmax 矩阵的第 1 行表示单词 1 与其他所有单词的 attention 系数,最终单词 1 的输出 Z1 等于所有单词 i 的值 Vi 根据 attention 系数的比例加在一起得到,如下图所示:
class Attention(nn.Module):
def __init__(self, input_n:int,hidden_n:int):
super().__init__()
self.hidden_n = hidden_n
self.input_n=input_n
self.W_q = torch.nn.Linear(input_n, hidden_n)
self.W_k = torch.nn.Linear(input_n, hidden_n)
self.W_v = torch.nn.Linear(input_n, hidden_n)
def forward(self, Q, K, V, mask=None):
Q = self.W_q(Q)
K = self.W_k(K)
V = self.W_v(V)
attention_scores = torch.matmul(Q, K.transpose(-2, -1))
attention_weights = softmax(attention_scores)
output = torch.matmul(attention_weights, V)
return output
2、multi-head attention

从上图可以看到 Multi-Head Attention 包含多个 Self-Attention 层,首先将输入 X分别传递到 h 个不同的 Self-Attention 中,计算得到 h 个输出矩阵 Z。下图是 h=8 时候的情况,此时会得到 8 个输出矩阵 Z。
得到 8 个输出矩阵 Z1 到 Z8 之后,Multi-Head Attention 将它们拼接在一起 (Concat),然后传入一个 Linear层,得到 Multi-Head Attention 最终的输出 Z。
可以看到 Multi-Head Attention 输出的矩阵 Z与其输入的矩阵 X 的维度是一样的。
class MultiHeadAttention(nn.Module):
def __init__(self,hidden_n:int, h:int = 2):
"""
hidden_n: hidden dimension
h: number of heads
"""
super().__init__()
embed_size=hidden_n
heads=h
self.embed_size = embed_size
self.heads = heads
# 每个head的处理的特征个数
self.head_dim = embed_size // heads
# 如果不能整除就报错
assert (self.head_dim * self.heads == self.embed_size), 'embed_size should be divided by heads'
# 三个全连接分别计算qkv
self.values = nn.Linear(self.head_dim, self.head_dim, bias=False)
self.keys = nn.Linear(self.head_dim, self.head_dim, bias=False)
self.queries = nn.Linear(self.head_dim, self.head_dim, bias=False)
# 输出层
self.fc_out = nn.Linear(self.head_dim * self.heads, embed_size)
def forward(self, Q, K, V, mask=None):
query,values,keys=Q,K,V
N = query.shape[0] # batch
# 获取每个句子有多少个单词
value_len, key_len, query_len = values.shape[1], keys.shape[1], query.shape[1]
# 维度调整 [b,seq_len,embed_size] ==> [b,seq_len,heads,head_dim]
values = values.reshape(N, value_len, self.heads, self.head_dim)
keys = keys.reshape(N, key_len, self.heads, self.head_dim)
queries = query.reshape(N, query_len, self.heads, self.head_dim)
# 对原始输入数据计算q、k、v
values = self.values(values)
keys = self.keys(keys)
queries = self.queries(queries)
# 爱因斯坦简记法,用于张量矩阵运算,q和k的转置矩阵相乘
# queries.shape = [N, query_len, self.heads, self.head_dim]
# keys.shape = [N, keys_len, self.heads, self.head_dim]
# energy.shape = [N, heads, query_len, keys_len]
energy = torch.einsum('nqhd, nkhd -> nhqk', [queries, keys])
# 是否使用mask遮挡t时刻以后的所有q、k
if mask is not None:
# 将mask中所有为0的位置的元素,在energy中对应位置都置为 -1*10^10
energy = energy.masked_fill(mask==0, torch.tensor(-1e10))
# 根据公式计算attention, 在最后一个维度上计算softmax
attention = torch.softmax(energy/(self.embed_size**(1/2)), dim=3)
# 爱因斯坦简记法矩阵元素,其中query_len == keys_len == value_len
# attention.shape = [N, heads, query_len, keys_len]
# values.shape = [N, value_len, heads, head_dim]
# out.shape = [N, query_len, heads, head_dim]
out = torch.einsum('nhql, nlhd -> nqhd', [attention, values])
# 维度调整 [N, query_len, heads, head_dim] ==> [N, query_len, heads*head_dim]
out = out.reshape(N, query_len, self.heads*self.head_dim)
# 全连接,shape不变
output = self.fc_out(out)
return output
3、transformer block
3.1 encoder blockg构架图

上图红色部分是 Transformer 的 Encoder block 结构,可以看到是由 Multi-Head Attention, Add & Norm, Feed Forward, Add & Norm 组成的。刚刚已经了解了 Multi-Head Attention 的计算过程,现在了解一下 Add & Norm 和 Feed Forward 部分。
3.2 Add & Norm
Add & Norm 层由 Add 和 Norm 两部分组成,其计算公式如下:

其中 X表示 Multi-Head Attention 或者 Feed Forward 的输入,MultiHeadAttention(X) 和 FeedForward(X) 表示输出 (输出与输入 X 维度是一样的,所以可以相加)。
Add指 X+MultiHeadAttention(X),是一种残差连接,通常用于解决多层网络训练的问题,可以让网络只关注当前差异的部分,在 ResNet 中经常用到。
Norm指 Layer Normalization,通常用于 RNN 结构,Layer Normalization 会将每一层神经元的输入都转成均值方差都一样的,这样可以加快收敛。
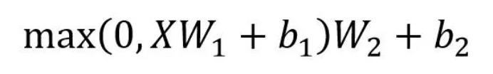
3.3 Feed Forward
Feed Forward 层比较简单,是一个两层的全连接层,第一层的激活函数为 Relu,第二层不使用激活函数,对应的公式如下。
X是输入,Feed Forward 最终得到的输出矩阵的维度与 X 一致。
class TransformerBlock(nn.Module):
def __init__(self, hidden_n:int, h:int = 2):
"""
hidden_n: hidden dimension
h: number of heads
"""
super().__init__()
embed_size=hidden_n
heads=h
# 实例化自注意力模块
self.attention =MultiHeadAttention (embed_size, heads)
# muti_head之后的layernorm
self.norm1 = nn.LayerNorm(embed_size)
# FFN之后的layernorm
self.norm2 = nn.LayerNorm(embed_size)
forward_expansion=1
dropout=0.2
# 构建FFN前馈型神经网络
self.feed_forward = nn.Sequential(
# 第一个全连接层上升特征个数
nn.Linear(embed_size, embed_size * forward_expansion),
# relu激活
nn.ReLU(),
# 第二个全连接下降特征个数
nn.Linear(embed_size * forward_expansion, embed_size)
)
# dropout层随机杀死神经元
self.dropout = nn.Dropout(dropout)
def forward(self, value, key, query, mask=None):
attention = self.attention(value, key, query, mask)
# 输入和输出做残差连接
x = query + attention
# layernorm标准化
x = self.norm1(x)
# dropout
x = self.dropout(x)
# FFN
ffn = self.feed_forward(x)
# 残差连接输入和输出
forward = ffn + x
# layernorm + dropout
out = self.dropout(self.norm2(forward))
return out
transformer
import torch.nn as nn
class Transformer(nn.Module):
def __init__(self,vocab_size, emb_n: int, hidden_n: int, n:int =3, h:int =2):
"""
emb_n: number of token embeddings
hidden_n: hidden dimension
n: number of layers
h: number of heads per layer
"""
embedding_dim=emb_n
super().__init__()
self.embedding_dim = embedding_dim
self.embeddings = nn.Embedding(vocab_size,embedding_dim)
self.layers=nn.ModuleList(
[TransformerBlock(hidden_n,h) for _ in range(n)
]
)
def forward(self,x):
N,seq_len=x.shape
out=self.embeddings(x)
for layer in self.layers:
out=layer(out,out,out)
return out
from torch.utils.data import Dataset, DataLoader
from torchtext.datasets import CoNLL2000Chunking
import pandas as pd
train_df = pd.DataFrame(CoNLL2000Chunking()[0], columns=['words', 'pos_tags', 'chunk'])
test_df = pd.DataFrame(CoNLL2000Chunking()[1], columns=['words', 'pos_tags', 'chunk'])
train_src, train_tgt = train_df['words'].tolist(), train_df['pos_tags'].tolist()
test_src, test_tgt = test_df['words'].tolist(), test_df['pos_tags'].tolist()
vocabulary_id2token : dict = {0: '<unk>'}
vocabulary_token2id : dict = {'<unk>': 0}
id=0
for sentence in train_src:
for token in sentence:
if token not in vocabulary_token2id.keys():
id+=1
vocabulary_token2id[token]=id
if token not in vocabulary_id2token.values():
vocabulary_id2token[id]=token
for sentence in test_src:
for token in sentence:
if token not in vocabulary_token2id.keys():
id+=1
vocabulary_token2id[token]=id
if token not in vocabulary_id2token.values():
vocabulary_id2token[id]=token
classes_id2name : dict = {}
classes_name2id : dict = {}
id=0
for sentence in train_tgt:
for name in sentence:
if name not in classes_name2id.keys():
classes_name2id[name]=id
id+=1
if name not in classes_id2name.values():
classes_id2name[id]=name
for sentence in test_tgt:
for name in sentence:
if name not in classes_name2id.keys():
classes_name2id[name]=id
id+=1
if name not in classes_id2name.values():
classes_id2name[id]=name
def get_token_ids(src: list) -> list:
ids=[]
for token in src:
if(token) not in vocabulary_token2id.keys():
ids.append(0)
else:
ids.append(vocabulary_token2id[token])
return ids
# str 2 int
def get_class_ids(tgt: list) -> list:
ids=[]
for name in tgt:
ids.append(classes_name2id[name])
return ids
class ConllDataset(Dataset):
def __init__(self, src, tgt):
self.src = src
self.tgt = tgt
def __len__(self):
return len(self.src)
def __getitem__(self, index):
src = self.src[index]
tgt = self.tgt[index]
return {
'src': get_token_ids(src),
'tgt': get_class_ids(tgt),
}
train_dataset = ConllDataset(train_src, train_tgt)
test_dataset = ConllDataset(test_src, test_tgt)
BATCH_SIZE = 32
def collate_fn(batch: list) -> dict:
#list[dict]) -> dict[str, Tensor]:
examples=batch
lengths = torch.tensor([len(ex['src']) for ex in examples])
inputs = [torch.tensor(ex['src']) for ex in examples]
targets = [torch.tensor(ex['tgt']) for ex in examples]
# 对batch内的样本进行padding,使其具有相同长度
inputs = pad_sequence(inputs,batch_first=True,padding_value=vocabulary_token2id["<pad>"])
targets = pad_sequence(targets,batch_first=True,padding_value=vocabulary_token2id["<pad>"])
src=inputs
tgt=targets
return {
'src': src,
'tgt': tgt,
'mask': src!=vocabulary_token2id["<pad>"],
}
train_data_loader = DataLoader(train_dataset, collate_fn=collate_fn, batch_size=BATCH_SIZE, shuffle=True)
test_data_loader = DataLoader(test_dataset, collate_fn=collate_fn, batch_size=BATCH_SIZE, shuffle=True)
vocab_size=len(vocabulary_token2id)+1
embedding_dimension=128
hidden_dim = 128
num_classes=len(classes_name2id)
transformer=Transformer(vocab_size,embedding_dimension,hidden_dim)
class CoNLL2000Transformer(nn.Module):
def __init__(self, transformer, hidden_dim,num_classes):
super().__init__()
self.transformer = transformer
self.classification_layer = nn.Linear(hidden_dim,num_classes)
def forward(self,x):
hidden_states=self.transformer(x)
logits=self.classification_layer(hidden_states)
log_probs = torch.log_softmax(logits,dim = -1)
return log_probs
model = CoNLL2000Transformer(Transformer(vocab_size,embedding_dimension,hidden_dim), hidden_dim,num_classes)
optimizer = torch.optim.Adam(model.parameters(),lr=0.001)
criterion = nn.NLLLoss()
from tqdm import tqdm
DEVICE = 'cpu' # later replace with 'cuda' for GPU
EPOCHS = 100
device=DEVICE
model = model.to(device)
#print(model)
#print(len(vocabulary_token2id))
for epoch in range(EPOCHS):
total_loss = 0
for batch in tqdm(train_data_loader,desc=f"Training Epoch{epoch}"):
inputs , targets , mask = batch['src'],batch['tgt'],batch['mask']
# print(inputs.size())
inputs=inputs.to(device)
# print(inputs.max())
# print(inputs.min())
targets=targets.to(device)
log_probs = model(inputs)
# print(log_probs)
loss = criterion(log_probs[mask],targets[mask])
optimizer.zero_grad()
loss.backward()
optimizer.step()
total_loss += loss.item()
print(f"Loss:{total_loss:.2f}")

本文详细介绍了自注意力(Self-Attention)结构,包括其计算过程、Q、K、V的计算,以及如何通过Softmax和矩阵乘法生成注意力权重。此外,还涵盖了多头注意力(Multi-HeadAttention)和Transformer块(包括Encoderblock和TransformerBlock)的构成及其作用。最后展示了Transformer模型在自然语言处理中的应用,如词汇嵌入和分类任务。
656

被折叠的 条评论
为什么被折叠?



