软件工程经济学期末复习总结
第四章 软件项目的经济效益、社会效益与风险
本章目标
4.1软件项目的经济效果评价
4.2软件项目的经济与社会效益分析
4.3软件项目的风险分析与控制
软件项目的现金流量及其特征
项目按投资主体分:
- 定制型
- 市场投放型
- 合作型
净现值法
基本思想:将软件项目不同时期的投资(支出)和收益(收入)的现金流量根据资金的时间价值将其转换到参考点t=0(即贴现),并将这一系列贴现值累加起来并定义其称为该项目现金流的净现值NPV( Net Present Value),然后根据NPV的数值是否大于零来作为该NIS项目从经济效益角度出发来看是否值得投资的依据。

评价项目是否可行的准则:
若NPV>0 ,说明在基准贴现率的水平下,该NIS项目可盈利,故从经济效果角度出来看该项目投资可行
若 NPV<0 ,说明在基准贴现率的水平下,该NIS项目仅能收支平衡或可能亏损,故从经济效果角度出发来看,该项目投资不可行
内部收益率法
基本思想:内部收益率法是一种通过求解使工程项目方案达到收支平衡时的对应临界贴现率i0,并将i0与基准贴现率或最低期望盈利率(由投资者确定)i相比较来决定工程项目是否值得投资的一种评价方法。
将该项目盈亏临界点i = i0称为该工程项目的内部收益率,常记i0为IRR(Internal Rate of Return)
内部收益率可以理解为对工程项目与占用资金的一种恢复能力,其值越高,说明项目方案的经济性越好。
项目投资方案是否可行的判别准则如下:
若 
,则有
,从而由净现值法判别准则得知该工程项目方案在ic水平下不可行
若 
,则有 
,从而由净现值法判别准则得知该工程项目方案在ic水平下可行
投资回收期法
所谓工程项目的投资回收期nd是指将该工程项目的投资以净收益的形式全部收回的时间。
投资回收期反映了能将项目投资得到补偿(回报)的速度(单位为年)。
投资回收期法是通过给定工程项目的投资回收期的求解,并将其与行业基准投资回收期作比较来判决该投资项目的可行性的一种评价方法。
根据投资回收期nd的上述经济含义,显然有

求解上式有两种如下思路:
(1) 当工程项目的现金流量采用简化分析时,可将所有时间点上的投资合并视作一次性初始投资K0,而系统运行后的净收益视作各年均等值为A且不考虑残值时,则上式可简化为:
对上式经求和移项和取对数容易求得投资回收期的计算公式有
若该企业产品的行业基准投资回收期为nc,则有项目投资方案是否可行的如下判别准则:
若 
,说明该项目全部投资得到补偿的时间低于行业的平均补偿时间,故该项目投资方案可行
若 
,说明该项目全部投资得到补偿的时间不低于行业的平均补偿时间,故该项目投资方案不可行
独立项目是指不受其他项目影响而进行选择的项目。
短期项目的多方案排序
寿命为一年或一年以内的项目投资方案
直接将各方案的投资收益率(单位投资的净收益)做比较,同时综合考虑各因素(企业的财务状况、人力状况等)。
收益相同但未确知的多方案排序
对于服务于社会的软件系统,因为其经济效益往往难以估计且一般不考虑,而主要考虑社会效益。
当对于多个能满足系统目标功能和性能的开发方案,我们可以认为他们具有相同的社会效益,此时常用的开发方案决策方法有两种:
- 费用现值法
选取最小费用现值的方案作为最佳方案 - 年费用法
注意:年费用是考虑了资金的时间价值意义下的动态平衡 选取最小年费用对应的方案作为最佳方案
效益的含义
是指当该项目实现后对项目主体(国家、部门、地区或企业等)基本目标的实现所产生的贡献或效果。
效益的特点
效益将依赖于项目主体及其追求的基本目标
效益将依赖于基本目标提出的时代
软件项目的效益根据其贡献形式,常有如下四类 :
-
成本与支出费用的节省
-
社会财富的增加
-
服务水平的提高
-
管理水平的提高
软件项目的效益根据受益面不同,常有如下两类 : -
内部效益
-
外部效益
软件项目的效益根据效益的计算时间不同,常有如下两类 :
- 预测效益
- 实际效益
软件项目实际效益与预测效益的计算常采用的方法 - 系统运行的前后对比法
是通过项目实施前后的两个不同时期有关特征量的变化来确定项目直接经济效益的一种方法
适用于软件项目实施后评价或项目实际效益的估算 - 经验参数估计法
是利用项目在实施前后,其各经济效益的相对变化的经验数值来估计各项直接经济效益的方法。
适合于系统规划阶段所作的效益预测。

按系统目标来看,软件项目大致可分成三类:
以系统经济性为主要目标的软件项目
该类系统评价应侧重于对该项目投资的经济效果评价,亦即重点研究由于项目的构建与运行给投资方或承建方所带来的直接经济效果;
以系统社会性为主要目标的软件项目
系统评价则应从国家和社会的利益出发来重点研究由于该软件项目的构建对社会所带来的影响与贡献;
以社会性为主要目标的软件项目,例如城市交通控制系统,环境保护信息系统,国家灾害应急处理系统,网络信息净化系统,社区智能监控系统等。
以系统的军事作战性为主要目标的软件项目
系统评价则应侧重于该软件项目的运行对提高系统作战效能和提高我军装备现代化水平所作的影响与贡献。
软件项目的社会效益评价的主要特征
系统评价以定性分析为主
社会效益评价无通用方法
对社会的贡献以间接效益、无形效果和外部效果为主
- 无形效果
泛指由于项目的实施而带来的难以用货币来进行度量的那些效果。
如生命的安全,城市或社区的治安,环境的保护,国民的精神文明等,是无法用货币来度量的系统属性。
度量方法:类比法或公众调查法等。 - 外部效果
对项目投资方(或承制方)以外的其他部门(企业)产生的影响或项目预期以外的效果,人们常称为外部效果或溢出效果,这种项目的外部效果一般无法在项目的收益或支出中反映出来。
外部效果一般来自于如下几个方面:
项目对相邻部门的影响,通常只需用一个累计效益的下限表示即可
项目的技术性外部效果,通常只能进行定性描述
项目的环境连锁效应,通常只能进行定性描述
适用项目类型
① 必须做经济费用效益分析项目:经济学角度
——具有垄断特征的项目(电力/通讯/有线电视等);
——产出具有公共产品特征的项目(道路交通/供水等);
——外部效果明显的项目(污水处理厂/铁路等);
——资源开发项目(森林旅游等);
——涉及国家经济安全的项目(原油/煤炭/采矿/电力等);
——受过度行政干预的项目。
②必须做经济费用效益分析项目:管理角度
——政府投资项目;
——政府各类专项建设基金
——利用国际金融组织和外国政府贷款,需要政府担保的项目;
——非政府投资建设的涉及国家经济安全、影响环境资源、公共利益、可能出现垄断、涉及整体布局等公共性问题,需要政府核准的项目。
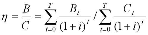
费用-效益分析
基本原理
Bt 公用事业(软件项目)第t年的净收益
Ct 公用事业(软件项目) 第t年的净支出
T 项目的寿命
i 平均贴现率
B 公用事业项目的总收益
C 公用事业项目的总支出
则可用相对效果系数 来作为公用事业项目可行性的度量指标
软件项目风险
未来可能发生的 ——不确定性
损失、危害 ——相对于项目要实现的目标
客观存在 ——没有风险的项目是不存在的
相对某一经济主体——不同经济主体其面临的风险是不同的
软件项目风险管理
第一步:风险识别
辨别在什么情况下,发生什么风险?
第二步:风险分析
分析每一个风险,确定其可能发生概率,以及发生时带来的危害。
第三步:风险控制
确定风险应对策略,制定风险应对行动计划,进行风险跟踪与评价。
风险识别
风险识别试图系统化地指出对项目计划(估算、进度、资源分配等)的威胁。
常用的风险识别的方法有风险树分析法,幕景分析(Sceneries Analysis)法,头脑风暴(Brainstorming)法,Delphi法等。
风险树分析法
所谓风险树其实质是将构成项目风险的各类影响因素分门别类地构成一个自上而下的递阶层次结构,在这种递阶层次结构中每一个下层风险因素受其相邻的上层风险因素的支配,或每一个上层风险因素可分解成若干个下层风险因素。由于这种递阶层次结构类似于一棵倒立的树,故又称风险树。

系统风险
是指那些由于全局性因素(通常是指国家政治、经济、国防等因素)所引起的风险;
由于这些因素来自承制方或投资方的企业外部,是企业(或部门)无法控制和回避的,因此称为系统风险。
非系统风险
则是指那些只对项目承制方或投资方企业(或部门)及其相关部门产生影响的风险,(局部范围内的风险);
且这样的风险的影响因素往往来自于项目承制方或项目投资方内部,因而可以通过它们内部采取的有关措施与对策来降低甚至消除这些风险;
因此,非系统风险又可认为是有可能控制或回避的风险。
风险分析主要包括如下内容:
(1)进行软件项目风险评估,识别主要风险因子
将所识别的各风险因子的各种属性加以比较,确定哪些风险因子是主要风险因子,哪些风险因子需要采取应对措施以化解风险或降低风险。
(2)研究各风险因素的关联
(3)确定风险来源
(4)研究降低风险的成本-效益分析。
一般而言,为降低风险。通常需要采用某些措施与对策,而由此就必需付出一些成本代价,然而对于这样的成本付出(或代价)又能够带来多少效益,这就是为降低风险而作的成本-效益分析的基本内容。
(5)研究承担风险的风险-效益分析。
无论是投资方或承建方,如果愿意承担风险,那么他就可能得到较高的效益,然而这种承担风险的程度与对应所获得效益究竟有什么样的关联关系?这就是风险—效益分析研究的主要内容。
风险评估要考虑风险因子的属性,即
- 风险发生的概率
- 风险发生后的损失
- 该风险因子与其他风险的关联程度
- 解决该风险的时间紧迫度等
- 风险评估的方法
- 三点估计法
- 主观概率法
- Delphi法
- 模糊综合评价法
风险控制
是指通过对软件系统的组织、计划与调节来降低或避免风险以使软件项目的开发与运行能沿着目标轨道前进的过程。
按照风险本身的特性、风险发生的概率、产生后果以及化解风险的成本与效益,项目管理者通常采取下列风险应对策略的一种或多种组合方案: - 风险回避策略
- 风险转移策略
- 风险分散策略
- 风险承担策略
- 风险应对行动计划
组织、计划和协调是指 建立风险监控体系、建立基准的风险应对计划,实施风险应对行动及其跟踪与评估,研究纠偏措施等一系列活动。
软件项目的经济效果评价
单方案项目评价
净现值法
内部收益率法
投资回收期法
多方案项目排序
净现值法
净现值率法
净年值法
研究期法
多方案组合排序法
特殊项目的多方案排序
短期项目多方案排序:投资收益率
收益相同但未确知的多方案排序
费用现值法
年费用法
软件项目的经济与社会效益分析
效益的含义、特点和分类
经济效益的计算
系统运行的前后对比法
经验参数估计法
社会效益评价
社会效益的特征和主要内容(无形效果和外部效益)
社会效益分析
费用-效益分析法
软件项目的风险分析与控制
风险的含义及特点
软件项目的风险识别
风险树
软件项目的风险分析
风险评估和主要风险因子识别
三点估计法
主观概率法
专家群体法
模糊综合评判法
风险来源分析
因果分析法
软件项目的风险控制
风险策略
风险应对计划
风险控制流程
本文总结了软件项目经济效益评价的关键方法,如净现值法、内部收益率法和投资回收期法,同时涵盖了社会效益分析、风险识别与控制策略。深入探讨了经济效果评价准则和项目分类,以及风险树分析和成本-效益分析在软件项目中的应用。
4786

被折叠的 条评论
为什么被折叠?



