平衡二叉树
平衡二叉树也叫平衡二叉查找树,又被称为AVL树,可以保证查询效率较高。它的特点是:它是一棵空树或它的左右两个子树的高度差的绝对值不超过1,并且左右两个子树都是一棵平衡二叉树。
结点的平衡因子定义为:结点的左子树高度与右子树高度之差。显然,对一棵AVL树而言,其所有结点的平衡因子只能是-1,0,1.挡在一棵AVL树上插入一个结点时,有可能导致失衡,即出现绝对值大于1的平衡因子。
单旋转(左旋转)
插入70后失去平衡,调整过程如下:。

思路:
1、创建一个新的结点,值等于当前根节点的值。
2、把新节点的左子树设置为当前结点的左子树。
3、把新节点的右子树设置为当前节点的右子树的左子树。
4、把当前结点的值换为右子节点的值
5、把当前节点的右子树设置为当前节点右子树的右子树。
6、把当前结点的左子树(左子节点)设置为新节点
单旋转(右旋转)
插入15后失去平衡,调整过程如下:

思路:
1、创建一个新的结点,值等于当前根节点的值。
2、把新节点的右子树设置为当前结点的右子树。
3、把新节点的左子树设置为当前节点的左子树的右子树。
4、把当前结点的值换为左子节点的值
5、把当前节点的左子树设置为当前节点左子树的左子树。
6、把当前结点的右子树(右子节点)设置为新节点
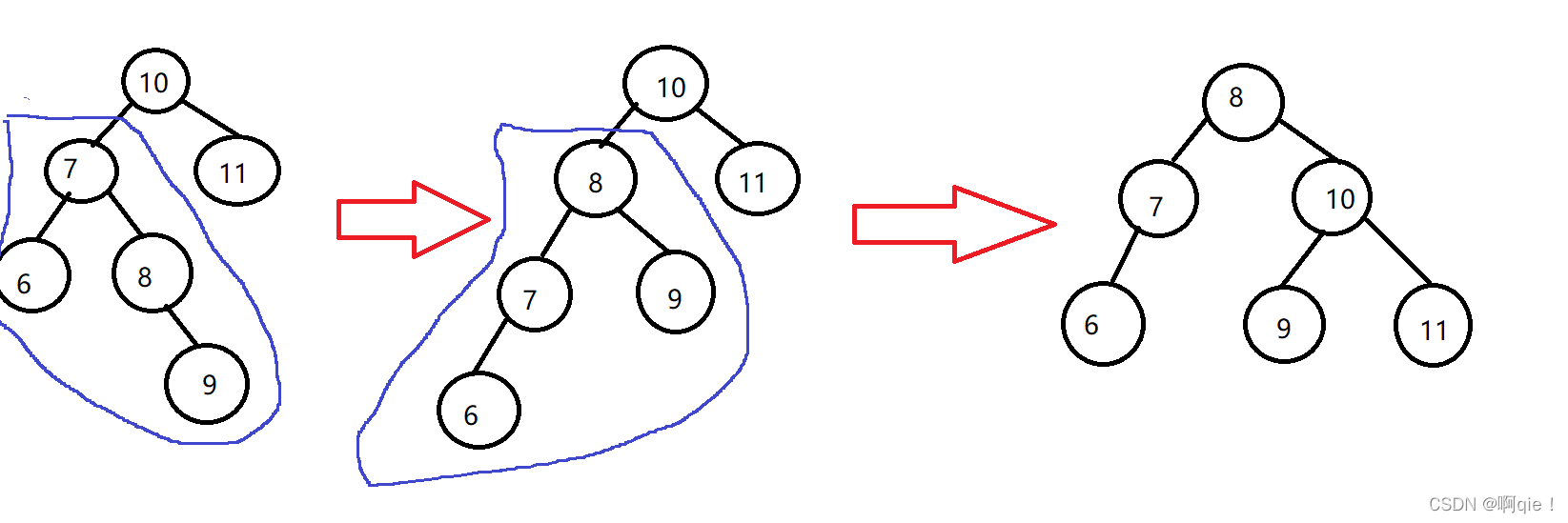
双旋转
情况一:当符合左旋转条件时

1、如果它的右子树的左子树高度大于它的右子树的右子树的高度
2、先对当前结点的右节点(右子树)进行右旋转
3、再对当前结点进行左旋转的操作即可
情况二:当符合右旋转条件时

1、如果它的左子树的右子树高度大于它的左子树的左子树的高度
2、先对当前结点的左节点(左子树)进行左旋转
3、再对当前结点进行右旋转的操作即可。
代码实现:
Node类:
package com.Tree.AVL;
public class Node {
int value;
Node left;
Node right;
public Node() {
}
public Node(int value) {
this.value = value;
}
public int getValue() {
return value;
}
//返回左子树的高度
public int leftHeight() {
if(left == null) {
return 0;
} else {
return left.height();
}
}
//返回右子树的高度
public int rightHeight() {
if(right == null) {
return 0;
} else {
return right.height();
}
}
//返回以该节点为根节点的树的高度
public int height() {
return Math.max(left == null ? 0 : left.height(), right == null ? 0 : right.height()) + 1;
}
//左旋转的方法
private void leftRotate() {
//创建一个新节点,值为当前根节点的值
Node newNode = new Node(value);
//把新节点的左子树设置为当前节点的左子树
newNode.left = left;
//把新节点的右子树设置为当前节点右子树的左子树
newNode.right = right.left;
//把当前节点的值替换为右子节点的值
value = right.value;
//把当前节点的右子树设置成为当前节点右子树的右子树
right = right.right;
//把当前节点的左子树(左子节点)设置为新的节点
left = newNode;
}
//右旋转的方法
private void rightRotate() {
//创建一个新节点,值为当前根节点的值
Node newNode = new Node(value);
//把新节点的右子树设置为当前节点的右子树
newNode.right = right;
//把新节点的左子树设置为当前节点左子树的右子树
newNode.left = left.right;
//把当前节点的值替换为左子节点的值
value = left.value;
//把当前节点的左子树设置成为当前节点左子树的左子树
left = left.left;
//把当前节点的右子树(右子节点)设置为新的节点
right = newNode;
}
//中序遍历
public void infixOrder() {
if(this.left != null) {
this.left.infixOrder();
}
System.out.println(this);
if(this.right != null) {
this.right.infixOrder();
}
}
//添加节点
public void add(Node node) {
if(node ==null) {
return;
}
if(node.value < this.value) {
//如果当前结点的左子节点为null,则将node添加到当前结点的左子节点上
if(this.left == null) {
this.left = node;
} else { //递归向左子树添加
this.left.add(node);
}
} else { //传入结点的值大于等于当前子树的根节点的值
if(this.right == null) {
this.right = node;
} else { //递归向右子树添加
this.right.add(node);
}
}
//当添加完一个节点后,如果右子树的高度-左子树的高度大于1,左旋转
if(rightHeight() - leftHeight() > 1) {
//如果他的右子树的左子树的高度大于它的右子树的右子树的高度
if(right != null && right.leftHeight() > right.rightHeight()) {
//先对当前节点的右节点(右子树)进行右旋转
right.rightRotate();
//然后再对当前节点进行左旋转
leftRotate();
} else {
//直接进行左旋转即可
leftRotate();
}
return;
}
//当添加完一个节点后,如果左子树的高度-右子树的高度大于1,右旋转
if(leftHeight() - rightHeight() > 1) {
//如果它的左子树的右子树高度大于它的左子树的左子树的高度
if(left != null && left.rightHeight() > left.leftHeight()) {
//先对当前节点的左节点(左子树)进行左旋转
left.leftRotate();
//再对当前节点进行右旋转
rightRotate();
} else {
//直接进行右旋转即可
rightRotate();
}
}
}
@Override
public String toString() {
return "Node{" +
"value=" + value +
'}';
}
}
AVLTree类:
package com.Tree.AVL;
public class AVLTree {
Node root;
//添加节点
public void add(Node node) {
if(root == null) {
root = node;
} else {
root.add(node);
}
}
//中序遍历
public void infixOrder() {
if(root != null) {
root.infixOrder();
} else {
System.out.println("null");
}
}
}
测试类:
package com.Tree.AVL;
public class AVLTreeDemo {
public static void main(String[] args) {
int[] arr = {2,1,6,5,7,3};
AVLTree avl = new AVLTree();
for (int i = 0; i < arr.length; i++) {
avl.add(new Node(arr[i]));
}
avl.infixOrder();
System.out.println(avl.root.height());
System.out.println(avl.root.leftHeight());
System.out.println(avl.root.rightHeight());
}
}
二叉排序树的运行结果:

AVL树的运行结果:

从以上两个运行结果可以看出:树的高度、树的左、右子树高度经过处理后,原来的二叉排序树变为了一棵AVL树。
本文介绍了平衡二叉查找树(AVL树)的概念,强调了其保持查询高效性的特点。详细阐述了AVL树的平衡因子、插入操作可能导致的失衡及相应的单旋转和双旋转调整策略。通过示例展示了插入节点后的旋转过程,并给出了Node类和AVLTree类的Java实现,包括节点添加、中序遍历和旋转方法。最后,通过测试代码展示了AVL树的构建及其平衡性质。
396

被折叠的 条评论
为什么被折叠?



