一次同余式和中国剩余定理
1.简介
这个我将从定理和练习来讲解,还有这都是我用个人学习经验和和个人知识认识所写,如果有错误,望大家指正(不喜勿喷!)。
2.一次同余式
- 定义:设m是一个正整数,f(x)为多项式

其中ai是整数,则

叫做模m的同余式。若an≠0(mod m),则n叫做f(x)的次数,记为deg f,式又叫做模m的n次同余式。
注·如果整数a使得f(a)= 0(mod m)成立,则x = a(mod m)叫做同余式的一个解。(这里要注意的是其实a就是f(x)的一个解)。
·把适合同余式而对模m相互同余的一切整数算作同余式的一个解。
·在模m的完全剩余系中,使得同余式成立的剩余个数叫做同余的解数。
(定义没啥好看的,其实就是了解一下就可以了。)

2.一次同余式的解
定义:一次同余式 ax =b(mod m),a 丰 0(mod m)
有解等价于(a, m)|b,且当同余式有解时,其解数为d = (a,m)。(这个要记住,通过(a, m)|b和d = (a,m)可以判断该同余式是否有解)
证明过程:(一定要去理解证明过程这对后面的求解很有帮助。)

(2)证明解的个数


上面的t的范围应该是0<=t<=(a,m)-1图片我写错了。
(3)总结(也就是求一次同余式的步骤)

再强调一点先判断该同余式是否有解,然后再按步骤进行求解。
(4)题目讲解:






3.中国剩余定理
- 定义:(中国剩余定理).设[m,m2,…,mg]是k个两两互素的正整数,则对任意的整数[b.,bz…,bg],同余式组

有唯一解。


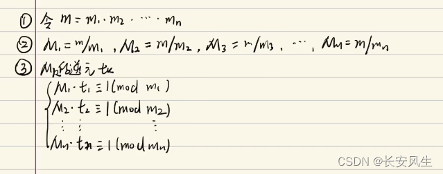
要点:m就是所有的模数相乘,图中就是m1…mk相乘。M就是除去它所在的模数,其他模数相乘,图中举例M1就是m2…mk相乘。Mi‘就是对Mi求mod mi的逆元。然后根据公式就可以求出x.

可以看看证明过程:



2.题目:



4.拓展(被惊讶到了)

1901

被折叠的 条评论
为什么被折叠?



