前言
在word中用word的数学公式自己一个一个打有点折磨人,但是我之前发现一个好东西,可以图像识别直接得出latex的公式,然后发现word中可以输入latex公式转化为正常的数学公式显示。
那么事情变得明朗起来了。
默认你已经有了SimpleTex
得到latex公式
使用simpletex截图截个公式复制进去就直接得出latex公式了

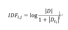
例如上图,得到的就是:
IDF_{i,j}=\log\frac{|D|}{1+|D_{t_i}|}
在word中转化
点击 插入-公式

得到:

点击LaTex说明输入的是latex公式
然后把刚刚识别出的LaTex公式复制进去:

点击转换按钮下拉菜单

选择专业
然后点击转换

就得到了word的公式
当然这个框框好像多出来了,直接手动删了,修改一下

这下就完美了。
3397

被折叠的 条评论
为什么被折叠?



