基础C语言实现的一个民用小型ATM取款机
- 模块分为 存款、取款、查询以及退出
- 使用 while循环、switch_case实现
- 不足点,还请各位大佬指教
-
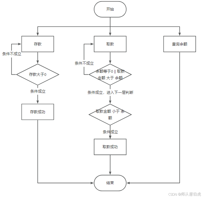
流程图如下

-
代码如下
#include <stdio.h>
int main(){
int business; //定义需要办理业务的变量
double deposit = 0.00; //定义存款变量
double withMoney = 0.00; // 定义取款变量
double money = 0.00; // 定义初始金额变量
int qiut = 0; // 定义退出变量
while(qiut >= 0) { // 如果qiut >= 0,则循环,< 0,则退出
printf("银行收款机\n");
printf("1.存款\n");
printf("2.取款\n");
printf("3.查询\n");
printf("4.退出\n");
printf("请选择要办理的业务:");
scanf("%d",&business);
switch (business) {
// 存款模块
case 1:
printf("请输入存储的金额:");
scanf("%lf",&deposit); // 输入存款的金额
if (deposit > 0) { // 判断存款金额是否大于0
money += deposit;
printf("存款成功,存款的金额为:%.2lf\n",deposit);
printf("总计金额为:%.2lf\n",money);
}else {
printf("请重新输入金额");
}
break;
// 取款模块
case 2:
printf("请输入取款的金额:");
scanf("%lf",&withMoney); // 输入取款的金额
if (money == 0 || withMoney > money) { // 判断余额是否等于 0 或 取款金额 大于 余额
printf("余额不足,无法取款");
}else if(money > withMoney){ // 如果余额 大于 取款金额,进入if执行
money -= withMoney;
printf("取款成功,取款的金额为:%.2lf\n",withMoney);
printf("剩余金额为:%.2lf\n",money);
}
break;
case 3:
// 查询模块
printf("当前余额为:%.2lf\n",money);
break;
case 4:
// 退出模块
printf("欢迎下次使用此服务!!!\n");
qiut --;
break;
}
if(business > 4 || business <= 0) {
printf("输入错误!,请重新输入!!!\n");
}
}
return 0;
}
5万+

被折叠的 条评论
为什么被折叠?



