第一章 概述
1.1数字图像处理及特点
数字图像处理的特点:1.再现性2.灵活性3.处理信息量很大4.数字图像中各个像素相关性大5.数字图像占用的频带较宽
1.2数字图像处理系统
数字图像处理系统是由图像数字化设备、图像处理计算机和图像输出设备组成
- 图像数字化设备将模拟信号转化为数字信号,可以是扫描仪、数码相机与摄像机等
- 图像处理计算机系统是以软件方式完成对图像的各种处理和识别,是核心的部分
- 图像输出设备将图像处理的中间结果或最后结果显示或打印记录
数字图像处理系统的主要优点:1.精度高 2.再现性好 3.通用性强。
1.3数字图像处理的主要研究内容
1.图像编码 2.图像增强 3.图像复原 4.图像重建 5.图像分割 6.图像分类 7.图像分析 8.图像理解
图像重建输入的是某种数据,经过处理得到的结果是图像
图像增强、图像复原输入的是图像,处理后输出的结果是图像
1.4数字图像处理的应用
生物医药(核磁共振,超生成像)、宇宙探索(嫦娥五号)、遥感技术、通信技术(手机上网)、军事技术(军事仿真)、侦查破案(指纹识别)、气象预报、考古、文化(人脸动画)、艺术等领域。
第二章 数字图像处理的基础
2.2 电磁波谱的可见光
电磁波谱包括无线电波、微波、红外线、可见光、紫外线、X射线、Y射线。(按波长长度由大到小排序)
2.3 数字图像的基础知识
- 图像的数字化及表达
- 图像的数字化:将代表图像的连续(模拟)信号转换为离散(数字)信号的过程
- 步骤:扫描、采样和量化
数字化(采集)设备:扫描仪,数码相机,图像采集卡或图像卡。
空间采样:空间坐标的离散化
采样间隔和采样孔径的大小是两个很重要的参数。
量化:对采样点亮度(灰度)值的离散化过程。确定了图像的灰度分辨率。
两种量化:等间隔量化、非等间隔量化。
- 采样间隔越大,所得图像像素数越少,空间分辨率低,质量差,严重时出现马赛克效应;
- 采样间隔越小,所得图像像素数越多,空间分辨率高,图像质量好,但数据量大。
- 量化等级越多,所得图像层次越丰富,灰度分辨率高,图像质量好,但数据量大;
- 量化等级越少,图像层次欠丰富,灰度分辨率低,会出现假轮廓现象,图像质量变差,但数据量小。
像素间的基本关系
设p为位于坐标(x,y)处的一个像素,则p的四个水平和垂直相邻像素的坐标为:
(x+1,y),(x-1,y)(x,y+1)(x,y-1)

上述像素组成p的4邻域,用N4(p)表示。如果像素q在集合N4(p)中,则称这两个像素是4连通的。
像素p的四个对角相邻像素的坐标为
(x+1,y+1),(x+1,y-1),(x-1,y+1),(x-1,y-1)

该像素集用ND(p)表示。

ND(p)和N4(p)合起来称为p的8邻域。用N8(p)表示,如果像素q在集合N8(p)中,则是8连通的
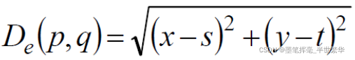
欧式距离
D4距离![]()
D8距离![]()
540

被折叠的 条评论
为什么被折叠?



