目录

一、云服务器的使用
1.我们在学习 MySQL 之前先来学习 Linux 的使用,将 MySQL 的服务器直接安装在 Linux 的服务器上,更加方便。
2.使用 Linux & 服务器来学习 MySQL,这里我选择购买了腾讯云的服务器。

3.买云服务器腾讯云 -> 镜像 Ubuntu 最新版。
工作流程:通过 windterm 软件即 ssh 客户端将指令通过互联网(ssh 协议)发送至 ssh 服务器即我们上面所购买的云服务器,云服务器再将运行结果返回至客户端。
图形化界面(GUI Graphics User Interface)vs 命令行界面(CLI Comand Line Interface)
GUI:用户 通过鼠标在某个位置进行一些动作(鼠标点击等)-> OS -> 事件(event)-> 对应的控件(Control)
当 按钮控件 收到某事件时,要进行哪些动作。 —— 事件响应模型
CLI:用户 通过键盘输入一些文字(请求),按下回车之后 -> OS -> 交给对应的程序 -> 结果写回。
二、Linux 和 发行版
Linux 是内核(Kernel):进程管理、内存管理、文件管理、网络管理、驱动管理、进程间通信等功能。
发行版(Release Version):就是针对内核做的二次开发(Ubuntu 发行版)。
三、云服务器的基本操作
开/关机、重启、重装系统、修改密码 —— 云服务器厂商提供了网页版的控制台

四、WindTerm(一款 SSH 客户端)
WindTerm 的优点:1. 开源 2.SSH 隧道功能
主要使用它的两个功能:
-
会话(ubuntu@公网ip,输入密码)
-
文件管理器
4.1 设置 WindTerm 外观

4.2 打开文件管理器

4.3 连接云服务器
在 “主机” 一栏输入:ubuntu@公网ip,然后根据提示输入密码。

4.4 参数
在桌面新建一个 .c 文件,添加以下代码至文件中并命名文件为 “print-args.c” 。
从桌面拖动至文件管理器中:

输入编译命令:gcc print-args.c -o print-args
![]()
通过引号(单引号、双引号)来决定参数的个数:

有一种特殊情况是当我们没有输入完整的双引号,但是点击了回车键,会出现什么情况呢?

第 0 个参数相对比较特殊,代码要执行的命令是什么?
通常这个命令对应到一个具体的程序。后边的参数全部交给要执行的程序去解析。
$ ls --help --nothing
["ls", "--help", "--nothing"]
第 0 个参数是 "ls",交给 shell 程序去解析,结果找到 /usr/bin/ls 程序文件
["--help", "--nothing"] 剩余的参数交给 ls 程序中的逻辑去处理
在 Linux 的习惯中,这些参数主要承担以下职责:
-
选项(options): 长选项 / 短选项 选项的作用一般是让程序执行不同的功能。
ls --help --help 长选项 ls -h -h 短选项 -h 等于 --help -
带参数的选项:
我们写一个程序,复制文件的程序 需要用户传入,源文件,目标路径是哪 ./copy --source 这是源文件的路径 --dest 这是目标路径 ["./copy", "--source", "这是源文件的路径", "--dest", "这是目标路径"] ./copy 执行哪个程序 --source 这是源文件的路径 带参数的选项 --dest 这是目标路径 带参数的选项 -
文件路径
./copy --source C:\\hello.txt --dest D:\\目标
4.5 常见命令
4.5.1 清理屏幕(滚屏)
![]()
清理屏幕并不是删除之前的内容,而是让屏幕滚动到最上方,clear 命令可以使用快捷键 Ctrl + L
4.5.2 我是谁
或者:

4.5.3 我在哪——工作目录(文件夹)位于何处
文件系统主要使用树形结构组织,比如 Windows 上用森林组织。

Linux 的文件系统树只有一个根结点: /

使用命令:pwd - print working directory 打印工作目录

在文件管理器中同样可以看到:

4.5.4 修改工作目录(切换主机的所在位置)
通过 cd - change directory 命令
1.前往指定路径

通过 cd 命令 指定要前往的目录,然后通过 pwd 命令打印当前目录。
2.一键回家

通过 cd 命令可以直接回到工作目录:/home/ubuntu,通过 pwd 命令打印当前目录。
也可以通过 cd ~ 命令回家。

3.左右横跳:回到上一个目录

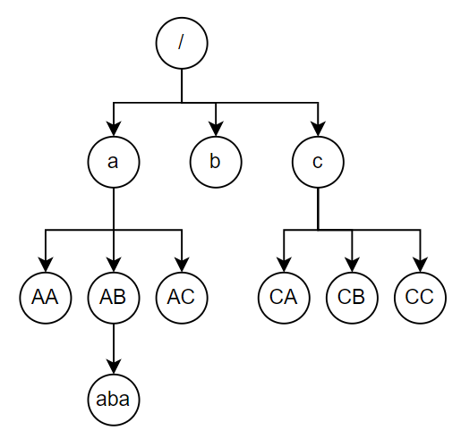
绝对路径(absolute path)vs 相对路径(relative path)

路径(Path): 从根到当前结点的路径。比如 aba /a/AB/aba
Windows 路径的分隔符使用 \ "\\",Linux 路径使用 /
\a\AB\aba "\\a\\AB\\aba"
绝对路径:从根开始的路径。即开头是 /。 /a/AB/aba
相对路径:相对于当前工作目录所在的路径。
pwd 是在 CA 目录下,则 aba 的相对路径
".." 代表父结点 ../../a/AB/aba
pwd 是在 c 目录下,则 aba 的相对路径 ../a/AB/aba
假如 pwd 是在 CA 目录下,则 ../../../../../../../a/AB/../../c/CB/../../../../a/AB/aba
"." 代表在本结点不动
pwd: CA 结点下 ./././././ 还在 CA 结点
4.cd 后边跟的路径,可以是绝对路径,可以是相对路径

5.我周围有什么——查看某目录下的文件列表
ls # 显示当前工作目录下的文件列表

ls .. # 查看当前工作目录的父目录下的文件列表

ls --help 命令可以查看 ls 中的一些选项。

ls --all # 查看所有文件

Linux 上 . 开头的文件名认为是默认隐藏的。

查看文件的详细信息:

4.5.5 删除文件/目录
rm 路径
其中 rm -i 路径 --interactive 交互式(询问是否删除)
rm -f 路径 --force 强制的(不询问,直接删除)
通常情况下,路径只能是普通文件
rm -r --recursive 递归
rm -rf / # 尽量不要使用,会删除根目录下的所有文件


被折叠的 条评论
为什么被折叠?



