给定一个非空二叉树的根节点 root , 以数组的形式返回每一层节点的平均值。与实际答案相差 10-5 以内的答案可以被接受。
示例 1:

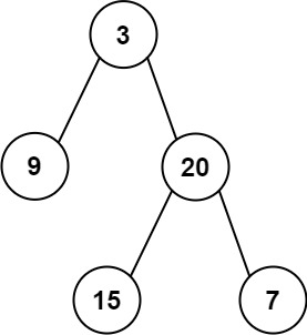
输入:root = [3,9,20,null,null,15,7] 输出:[3.00000,14.50000,11.00000] 解释:第 0 层的平均值为 3,第 1 层的平均值为 14.5,第 2 层的平均值为 11 。 因此返回 [3, 14.5, 11] 。
示例 2:

输入:root = [3,9,20,15,7] 输出:[3.00000,14.50000,11.00000]
提示:
- 树中节点数量在
[1, 104]范围内 -231 <= Node.val <= 231 - 1
```
/**
* 层序遍历
*/
vector<double> averageOfLevels(TreeNode *root) {
queue<TreeNode *> que;
vector<double> result;
//如果节点不为空则直接放入
if (root != NULL) que.push(root);
//如果队列为空则结束循环
while (!que.empty()) {
//用于记录每层节点记录加入队列的数量
int size = que.size();
double sum = 0;//统计每一层的和
//根据size的数量进行相对应的操作
for (int i = 0; i < size; i++) {
//取出相对应的元素
TreeNode* node = que.front();
//弹出对应元素
que.pop();
//累加节点的和
sum += node->val;
//加入完当前节点后再选择它的左节点和右节点
if (node->left) que.push(node->left);
if (node->right) que.push(node->right);
}
result.push_back(sum / size);
}
return result;
}
本文介绍了一种使用层序遍历的方法,通过队列操作计算给定二叉树中每层节点的平均值,提供示例和代码实现。
902

被折叠的 条评论
为什么被折叠?



