
Java类和对象-PTA答案
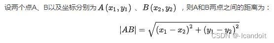
编写一个复数类,可以进行复数加法和减法运算。编写一个包含main方法的类测试该复数类。要求该复数类至少包含一个无参的构造方法和一个带参的构造方法;数据成员包括复数的实部和虚部,为double类型;包括两个方法,分别实现复数的加法和减法运算。输入格式:输入两个复数。输入为两行,每一行为一个复数的实部和虚部,用空格隔开。输出格式:输出复数加法和减法结果。输出为4行,第一行和第二行输出两个复数,第三行为两个复数的加法运算结果,第四行为减法运算结果。

王者杯·14天创作挑战营·第2期
这是一个以写作博客为目的的创作活动,旨在鼓励码龄大于4年的博主们挖掘自己的创作潜能,展现自己的写作才华。如果你是一位热爱写作的、想要展现自己创作才华的小伙伴,那么,快来参加吧!我们一起发掘写作的魅力,书写出属于我们的故事。 注: 1、参赛者可以进入活动群进行交流、分享创作心得,互相鼓励与支持(开卷),答疑及活动群请见https://bbs.csdn.net/topics/619735097 2、文章质量分查询:https://www.csdn.net/qc 我们诚挚邀请你们参加为期14天的创作挑战赛!
