7-1 图深度优先遍历
编写程序对给定的有向图(不一定连通)进行深度优先遍历,图中包含n个顶点,编号为0至n-1。本题限定在深度优先遍历过程中,如果同时出现多个待访问的顶点,则优先选择编号最小的一个进行访问,以顶点0为遍历起点。
输入格式:
输入第一行为两个整数n和e,分别表示图的顶点数和边数,其中n不超过20000,e不超过50。接下来e行表示每条边的信息,每行为两个整数a、b,表示该边的端点编号,但各边并非按端点编号顺序排列。
输出格式:
输出为一行整数,每个整数后一个空格,即该有向图的深度优先遍历结点序列。
输入样例1:
3 3
0 1
1 2
0 2
输出样例1:
0 1 2
输入样例2:
4 4
0 2
0 1
1 2
3 0
输出样例2:
0 1 2 3
#include <bits/stdc++.h>
using namespace std;
#define N 40000
vector<int> h[30100];
bool vis[N];
void dfs(int s){
cout<<s<<" ";
vis[s]=1;
int len=h[s].size();
for(int j=0;j<len;j++){
if(!vis[h[s][j]])
dfs(h[s][j]);
}
}
int n,m;
int main(){
cin>>n>>m;
int u,v;
for(int i=0;i<m;i++){
cin>>u>>v;
h[u].push_back(v);
}
for(int i = 0 ; i < n ; i ++ )
sort(h[i].begin(),h[i].end());
for(int i=0;i<n;i++){
if(!vis[i])
dfs(i);
}
return 0;
}
7-2 数据结构实验三 图的广度优先搜索
以邻接表作存储结构,编写程序对给定的无向图G(包含n个顶点,编号为0至n-1)进行广度优先遍历,并在遍历的过程中计算图G的连通分量个数及边的数目。
本题限定在遍历过程中,如果同时出现多个待访问的顶点,则优先选择编号最小的一个进行访问,以顶点0为遍历起点。
邻接表的类型描述
#define MaxVexNum 20 //最大顶点数
typedef struct ArcNode //表结点定义
{
int adjvex;
struct ArcNode *nextarc;
}ArcNode;
typedef struct //头结点定义
{
ArcNode *firstarc;
}VerNode;
typedef struct
{
VerNode vertices[MaxVexNum];
int vernum, arcnum;
}ALGraph;
输入格式:
第一行输入图的顶点数和边数e。
接下来共e行。每行代表一条边,输入边依附的两个顶点的编号。用头插法建邻接表,各边按第一个顶点编号升序输入,第一个顶点相同时按第二个顶点降序输入。注意:边不能重复输入。
输出格式:
输出分三行
- 第一行 广度优先遍历序列。序列中每个顶点编号后跟一个空格。
- 第二行 连通分量个数
- 第三行 边数
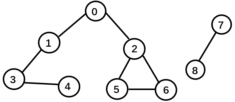
对于下面给出的无向图G

输入样例:
9 8
0 2
0 1
1 3
2 6
2 5
3 4
5 6
7 8
输出样例:
0 1 2 3 5 6 4 7 8
2
8
#include <bits/stdc++.h>
using namespace std;
#define N 2000000
vector<vector<int>> h(N);
bool st[N];
int n, m;
void bfs(int u)
{
queue<int> q;
q.push(u);
st[u] = 1;
cout << u << ' ';
while (q.size())
{
int t = q.front();
q.pop();
for (auto it : h[t])
{
if (!st[it])
{
q.push(it);
st[it] = 1;
cout << it << ' ';
}
}
}
}
int main()
{
cin >> n >> m;
for (int i = 0; i < m; i++)
{
int a, b;
cin >> a >> b;
h[a].push_back(b);
h[b].push_back(a);
}
for (int i = 0; i < n; i++)
{
sort(h[i].begin(), h[i].end());
}
int cnt = 0;
for (int i = 0; i < n; i++)
{
if (!st[i])
{
cnt++;
bfs(i);
}
}
cout << endl << cnt << endl;
cout << m;
return 0;
}
7-3 计算最小生成树权值
本题要求采用prim算法求最小生成树,输出其权值之和
输入格式:
输入为顶点 顶点 权值,以 0 0 0表示结束
输出格式:
输出为最小生成树的权值大小
输入样例:
0 1 5
1 0 5
0 2 30
2 0 30
0 3 14
3 0 14
1 2 24
2 1 24
2 3 17
3 2 17
1 4 14
4 1 14
1 5 10
5 1 10
4 5 25
5 4 25
2 5 17
5 2 17
3 5 8
5 3 8
0 0 0
输出样例:
在这里给出相应的输出。例如:
54
#include <bits/stdc++.h>
using namespace std;
const int N = 1e6 + 10;
struct node
{
int u, v, w;
};
vector<node> g;
int p[N];
int n, m;
int find(int y)
{
if (y == p[y])
return y;
return p[y] = find(p[y]);
}
set<int> s;
int main()
{
int a, b, c;
while (cin >> a >> b >> c)
{
if (a == 0 && b == 0 && c == 0)
break;
g.push_back({a, b, c});
s.insert(a);
s.insert(b);
p[a] = a;
p[b] = b;
m++;
}
n = s.size();
sort(g.begin(), g.end(), [](node a, node b)
{ return a.w < b.w; });
long long ans = 0, cnt = 0;
for (int i = 0; i < m; i++)
{
int u = g[i].u, v = g[i].v, w = g[i].w;
u = find(u), v = find(v);
if (u != v)
{
p[u] = v;
ans += w;
cnt++;
}
if (cnt == n - 1)
break;
}
cout << ans;
return 0;
}
7-4 最小生成树-kruskal
题目给出一个无向连通图,要求求出其最小生成树的权值。
温馨提示:本题请使用kruskal最小生成树算法。
输入格式:
第一行包含两个整数 N(1<=N<=1x106),M(1<=M<=1x106) 表示该图共有 N 个结点和 M 条无向边。
接下来 M 行每行包含三个整数 Xi,Yi,Zi ,表示有一条长度为 Zi 的无向边连接结点 Xi,Yi 。
输出格式:
输出一个整数表示最小生成树的各边的长度之和。
输入样例:
4 5
1 2 2
1 3 2
1 4 3
2 3 4
3 4 3
输出样例:
7
#include <bits/stdc++.h>
using namespace std;
#define N 2000000
struct node
{
int u, v, w;
};
vector<node> g;
int p[N];
int n, m;
int find(int y)
{
if (y == p[y])
return y;
return p[y] = find(p[y]);
}
int main()
{
cin >> n >> m;
for (int i = 0; i < m; i++)
{
int a, b, w;
scanf("%d %d %d" ,&a, &b,&w);
g.push_back({a, b, w});
}
sort(g.begin(), g.end(), [](node a, node b)
{ return a.w < b.w; });
long long ans = 0, cnt = 0;
for (int i = 1; i <= n; i++)
p[i] = i;
for (int i = 0; i < m; i++)
{
int u = g[i].u, v = g[i].v, w = g[i].w;
u = find(u), v = find(v);
if (u != v)
{
p[u] = v;
ans += w;
cnt++;
}
if (cnt == n - 1)
break;
}
cout << ans;
return 0;
}
博客围绕图的相关算法题目展开,包含图的深度优先遍历、广度优先搜索,以及采用prim和kruskal算法求最小生成树权值。详细给出各题的输入输出格式及样例,涉及有向图、无向图等不同情况。
937

被折叠的 条评论
为什么被折叠?



