1.并查集原理
在一些应用问题中,需要将n个不同的元素划分成一些不相交的集合。开始时,每个元素自成一个
单元素集合,然后按一定的规律将归于同一组元素的集合合并。在此过程中要反复用到查询某一
个元素归属于那个集合的运算。适合于描述这类问题的抽象数据类型称为并查集(union-find-set)。
比如:某公司今年校招全国总共招生10人,西安招4人,成都招3人,武汉招3人,10个人来自不
同的学校,起先互不相识,每个学生都是一个独立的小团体,现给这些学生进行编号:{0, 1, 2, 3,
4, 5, 6, 7, 8, 9}; 给以下数组用来存储该小集体,数组中的数字代表:该小集体中具有成员的个数。

毕业后,学生们要去公司上班,每个地方的学生自发组织成小分队一起上路,于是:
西安学生小分队s1={0,6,7,8},成都学生小分队s2={1,4,9},武汉学生小分队s3={2,3,5}就相互认识
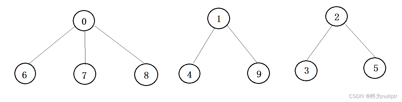
了,10个人形成了三个小团体。假设右三个群主0,1,2担任队长,负责大家的出行。
集合的树形表示:

一趟火车之旅后,每个小分队成员就互相熟悉,称为了一个朋友圈。

从上图可以看出:编号6,7,8同学属于0号小分队,该小分队中有4人(包含队长0);编号为4和9的同
学属于1号小分队,该小分队有3人(包含队长1),编号为3和5的同学属于2号小分队,该小分队有3
个人(包含队长1)。
仔细观察数组中内融化,可以得出以下结论:
1. 数组的下标对应集合中元素的编号
2. 数组中如果为负数,负号代表根,数字代表该集合中元素个数
3. 数组中如果为非负数,代表该元素双亲在数组中的下标
在公司工作一段时间后,西安小分队中8号同学与成都小分队1号同学奇迹般的走到了一起,两个
小圈子的学生相互介绍,最后成为了一个小圈子:

现在0集合有7个人,2集合有3个人,总共两个朋友圈。
通过以上例子可知,并查集一般可以解决一下问题:
1. 查找元素属于哪个集合
沿着数组表示树形关系以上一直找到根(即:树中中元素为负数的位置)
2. 查看两个元素是否属于同一个集合
沿着数组表示的树形关系往上一直找到树的根,如果根相同表明在同一个集合,否则不在
3. 将两个集合归并成一个集合
将两个集合中的元素合并
将一个集合名称改成另一个集合的名称
4. 集合的个数
遍历数组,数组中元素为负数的个数即为集合的个数。
2. 并查集实现
#include <iostream>
#include <vector>
using namespace std;
class UnionFindSet
{
public:
UnionFindSet(size_t size)
: _ufs(size, -1) {}
// 给一个元素的编号,查找元素属于哪一个集合:
int FindRoot(size_t index)
{
while (_ufs[index] >= 0)
{
index = _ufs[index];
}
return index;
}
// 将两个元素所在的两个集合合并成一个集合:
bool Union(int x1, int x2)
{
int root1 = FindRoot(x1);
int root2 = FindRoot(x2);
if (root1 == root2)
return false;
// 将两个集合中的元素合并:
_ufs[root1] += _ufs[root2];
// 将其中一个集合的名称改变成另一个:
_ufs[root2] = root1;
return true;
}
// 求集合的个数:数组中负数的个数:
int Count()
{
int count = 0;
for (auto &e : _ufs)
{
if (e < 0)
count++;
}
return count;
}
private:
vector<int> _ufs;
};
void TestUFS()
{
UnionFindSet u(10);
u.Union(0, 6);
u.Union(7, 6);
u.Union(7, 8);
u.Union(1, 4);
u.Union(4, 9);
u.Union(2, 3);
u.Union(2, 5);
cout << u.Count() << endl;
}
int main()
{
TestUFS();
return 0;
}
3. 并查集应用
class Solution {
public:
int findCircleNum(vector<vector<int>>& isConnected) {
vector<int> ufs(isConnected.size(),-1);
auto findroot = [&ufs](int x)
{
while(ufs[x] >= 0)
x = ufs[x];
return x;
};
for(int i = 0; i < isConnected.size(); i++)
{
for(int j = 0; j < isConnected[i].size(); j++)
{
if(isConnected[i][j] == 1)
{
int root1 = findroot(i);
int root2 = findroot(j);
if(root1 != root2)
{
ufs[root1] += ufs[root2];
ufs[root2] = root1;
}
}
}
}
int count = 0;
for(auto& e : ufs)
{
if(e < 0)
count++;
}
return count;
}
};
class Solution {
public:
bool equationsPossible(vector<string>& equations) {
vector<int> ufs(26,-1);
auto findroot = [&ufs](int x)
{
while(ufs[x] >= 0)
{
x = ufs[x];
}
return x;
};
//将相等加到一个集合中:
for(auto& str: equations)
{
if(str[1] == '=')
{
int root1 = findroot(str[0]-'a');
int root2 = findroot(str[3]-'a');
if(root1 != root2)
{
ufs[root1] += ufs[root2];
ufs[root2] = root1;
}
}
}
//判断不相等是不是在同一个集合,如果在就不满足
for(auto& str: equations)
{
if(str[1] == '!')
{
int root1 = findroot(str[0]-'a');
int root2 = findroot(str[3]-'a');
if(root1 == root2)
return false;
}
}
return true;
}
};
并查集是一种用于处理集合操作的数据结构,常用于判断元素间连接关系和合并集合。文中通过公司校招和朋友圈形成的情境解释了并查集的工作原理,并提供了C++实现。此外,还展示了并查集在解决省份数量问题和等式方程可满足性问题中的应用。

3823

被折叠的 条评论
为什么被折叠?



