目录
求极限的方式:
利用洛必达法则求极限

![]()
洛必达法则适用于分子分母的极限同为0或者同为无穷的形式。
我们洛必达法则相当于对分子分母同时求导,所以要要求再x0的去心邻域内可导,使用过洛必达之后,g(x)的一阶导数就是分母,所以分母不能等于0.
使用过洛必达之后的极限应该存在或者为无穷。
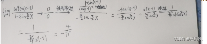
洛必达法则虽然理论上只适用于0比0或者无穷比无穷,但以下的这些形式都可以考虑用洛必达法则:

我们的思路是这样的:


当然对于1的无穷次方,我们可以用我们之前总结的方法:更加简便

我们举一个例子:

我们举一个例子:





我们先看函数的形式,函数是无穷的0次方的形式,并且函数的类型是幂函数与指数函数的结合体,对于幂指函数,常用的方法就是取对数:


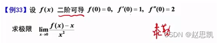
我们常说的函数可导是函数一阶可导,函数一阶可导可以推出原函数连续,则函数二阶可导可以推出一阶导函数连续。

这种写法其实是错误的,错误点2:
只有一阶导函数和原函数是连续的,二阶导函数并不是连续的,所以不能用二阶导数这一点的函数来代替具体值。
错误点1:对于洛必达法则,我们要保证使用洛必达之后的式子是有明显极限的,所以在这个题目中,我们只能使用一次洛必达法则。
正确的写法:

我们这里使用的是导数的定义的方法。
n阶可导的理解
函数在某一区间n阶可导的含义就是n-1阶导函数包括之前的函数都是连续的,函数是n阶可导的话,我们最多只能使用n-1次洛必达法则。
当题设中写出函数在区间内n阶连续可导,就表明n阶函数及之前的函数都是连续的,并且我们最多可以使用n次洛必达法则。
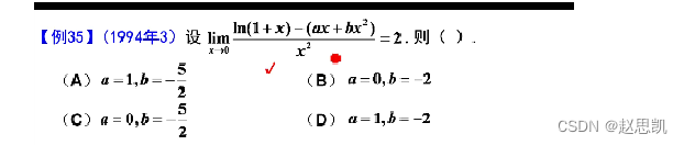
方法2:

我们可以使用泰勒公式,对于求极限的题目,我们可以使用第一种泰勒公式:

对于这类题目,我们进行总结:
1:我们看分母的最高次项是二次,我们只需使用泰勒公式到出现二次项即可。
2:题设中,关于哪一点出现的条件最多,我们就使用哪一点的泰勒公式,一般都是给的0点。
几个常用的泰勒公式

对于tanx和arcsinx的泰勒公式,我们可以这样写:


我们可以使用泰勒公式:
分母的最高此项是4次项。

方法2:


方法1:使用泰勒公式:

方法2:

解法3:
文章详细介绍了如何利用洛必达法则处理分子分母同时趋近于0或无穷的极限问题,强调了使用条件和限制。同时,讨论了n阶可导的概念,指出在使用洛必达法则时的注意事项。此外,文章还探讨了通过泰勒公式解决极限问题的方法,特别是针对不同情况选择合适的泰勒展开项。

被折叠的 条评论
为什么被折叠?



