损失函数是最优化目标的一种代表,大多数情况下,我们无法直接用最优化目标,故用损失函数来替代。因此,如何选择一个损失函数,以让他和最优化目标更为接近显得极为重要。
更多文献综述及文献回顾,请参阅:
https://github.com/senbinyu/Computer_Vision_Literatures
1. Review paper,综述文献推荐
Ma et al., 2020, Nanjing University of Science and Technology, Segmentation Loss Odyssey
2. Loss functions,损失函数
下图给出了所有损失函数之间的关系。

2.1 Distribution-based Loss,基于分布的损失函数
基于分布的损失函数旨在最小化两个分布之间的差异。 此类别中最基本的功能是交叉熵。 所有其他函数都可以看做是推导自交叉熵。
-
交叉熵(CE)来自Kullback-Leibler(KL)散度,该散度是两个分布之间差异的度量。 最小化KL差异等效于最小化CE。如下图,i是每个pixel,c是分类, g i c g_i^c gic是表示是否分类正确, s i c s_i^c sic是分为某个类的概率

-
WCE, used in UNet, 2015, 更多可见 https://github.com/senbinyu/Computer_Vision_Literatures/edit/master/3_segmentation/
WCE (Weighted cross entropy)是常见的扩展,图中的权重在g_ ^ c之前。
这里好理解,即把权重置于每个对应类的损失前,这样就是加权CE了。

-
TopK loss, Wu et al., 2016, The University of Adelaide Bridging category-level and instance-level semantic image segmentation
TopK损失旨在迫使网络在训练期间专注于难的样本。 其中,t in(0; 1]是阈值,1 {…}是二进制指示符函数。换句话说,“简单”像素,即损耗低于t的像素,由于它们容易被当前模型分类而被丢弃。
这里可以这样理解,当预测为c类时,且其概率小于某个阈值,表明这是不好预测的那些,公式中只计算这些hard samples,而把简单的直接忽略了,因此叫topK,最难的那些对loss有影响。

-
FL focal loss, used in RetinaNet, 2017, Focal Loss for Dense Object Detection
Focal loss [8] 让标准CE适应于处理极端的前景-背景类别不平衡问题,减少了分配给简单分类样本的损失。
如下图所示,是easy sample的时候, s i c s_i^c sic接近1,这样前面的系数 ( 1 − s i c ) γ (1-s_i^c)^\gamma (1−sic)γ越小,即他们的影响越小。同时, γ \gamma γ取得越大,其让easy sample所占比越小。反过来说,即hard sample所占的比重越大,focal到了hard sample上,也相当于一种注意力机制。

-
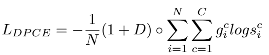
DPCE, Caliva et al., 2019 University of California Distance map loss penalty term for semantic segmentation
距离图是惩罚的交叉熵损失(DPCE),权重是通过从ground truth得出的距离图来交叉熵的。该距离图是指和ground truth masks的距离,距离越远则表示越难分割,则权重要变大。 它旨在引导网络将注意力集中在难以分割的边界区域。 其中D是距离罚分项,而◦是Hadamard乘积。 具体而言,D是通过计算地面真相的距离变换然后将其还原而生成的。

2.2 Region-based loss,基于区域的损失函数
基于区域的loss旨在最大程度地减少失配或最大化ground truth G与预测的分割S之间的重叠区域。关键因素是Dice损失。
-
Dice loss, used in V-Net, 2016, 更多可见:https://github.com/senbinyu/Computer_Vision_Literatures/edit/master/3_segmentation/
Dice loss其实是Dice参数的直接表现,后者经常用作segmentation任务中的metric。Dice loss不需要对imbalanced的例子做重新权衡。至于为何在segmentation任务中不常用,查阅资料后发现dice loss不利于反向传播,且容易造成训练时的参数振荡,不利于收敛。公式理解,dice的metric为两者相乘比上两者的平方和,越高表明越好,因此loss就在前面加上1-,这样就可以用min方法,符合loss越低越好。

-
IOU loss, Rahman et al., 2016, University of Manitoba, Optimizing intersection-over-union in deep neural networks for image segmentation
iou loss思路也和dice loss一样,也是直接用来衡量iou metric,因为iou表示的是两者的交集比上两者的并集,即减号后面部分,为了符合loss越低越好,前面加1-。

-
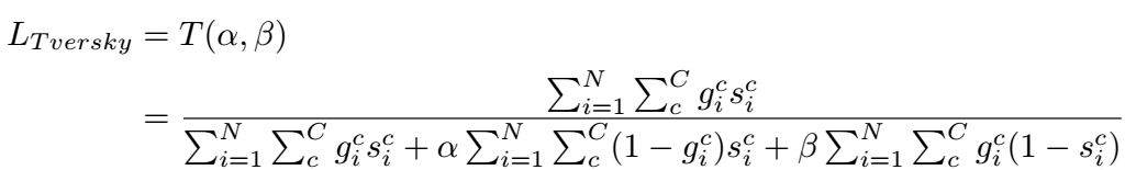
Tversky loss, Salehi et al., 2017, Northeastern University Tversky loss function for image segmentation using 3d fully convolutional deep networks
为了在精度和召回率之间取得更好的折衷,Tversky损失重塑了Dice损失并强调了假阴性。 α和β是控制假阴性FN(分母的中间项)和假阳性FP(分母最后一项)之间平衡的超参数。

-
Generalized Dice loss, Sudre et al., 2017, University College London Generalised dice overlap as a deep learning loss function for highly unbalanced segmentations
Generalized Dice loss是Dice loss的多类扩展,其中每个类别的权重与标签频率成反比, w c = 1 / ( ∑ g i c ) 2 wc = 1/(\sum g_i^c)^2 wc=1/(∑gic)2为不同的标签集属性提供不变性。

-
Focal Tversky loss, Abraham et al., 2019, Ryerson University A novel focal tversky loss function with improved attention u-net for lesion segmentation
Focal Tversky loss在Tversky loss基础上,直接加系数,用来集中到hard cases上,类似于focal loss的思想。γ 在区间 [1, 3]变化

-
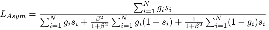
Asymmetric similarity loss, Hashemi et al., 2018, Harvard Medical School, Asymmetric loss functions and deep densely-connected networks for highly-imbalanced medical image segmentation: Application to multiple sclerosis lesion detection
Asymmetric similarity los引入了加权参数β,以更好地调整假阳性和假阴性的权重。当先前Tversky损失中的α+β= 1时,这也是Tversky损失的一种特殊情况。

-
Penalty loss, Yang et al., 2019, University of Ulsan College of Medicine, Major Vessel Segmentation on X-ray Coronary Angiography using Deep Networks with a Novel Penalty Loss Function
Penalty loss惩罚generalized Dice loss LGD中的FN和FP。 k是非负惩罚系数,当k = 0时,LpGD等效generalized Dice loss。当k> 0时,LpGD为FP和FN赋予额外的权重。

2.3 Boundary-based Loss,基于边界的损失函数
基于边界的损失是一种新型的损失函数,旨在最小化地面真实情况和预测的分段之间的距离。
-
Boundary (BD) loss
为了以可微分的方式计算两个边界之间的距离Dist(pG; pS),边界损耗使用边界上的积分而不是不平衡的对区域进行积分以减轻高度不平衡的细分带来的困难。DG§是与ground truth的距离, s§是双值函数,φG = −DG(q) if q 2 G, and φG = DG(q) otherwise。作者在文章是用Dice loss + BD loss结合,前期Dice loss比重较高,后期BD loss比重变高,可以更好的处理边界问题。

-
Hausdorff Distance (HD) loss, Karimi et al., 2019, TheUniversity ofBritish Columbia, Reducing the hausdorff distance in medical image segmentation with convolutional neural networks
由于直接将HD直接最小化是很棘手的,并且可能导致不稳定的训练,Karimi等人证明它可以通过ground truth和预测的分割的距离变换来近似。 此外,可以使用以下HD loss功能来训练网络。dG和dS是ground truth和分割的距离变换。

-
所有三个损失函数的目的是使ground truth和segmentation的失配区域ΔM最小。 它们之间的主要区别是加权方法。 对于Dice损失,分割不匹配由分割中前景像素数与ground truth中像素数之和加权。 在BD损失中,它由ground truth的距离变换map加权。 HD损失不仅使用ground truth的距离变换map进行加权,还使用分割的距离变换map。
2.4 Compound loss
-
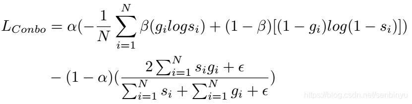
Combo loss, Taghanaki et al., 2019, Simon Fraser University, Combo loss: Handling input and output imbalance in multi-organ segmentation
Combo loss是直接的weighted CE和Dice loss的结合,用超参数alpha和1-alpha结合。

-
Exponential Logarithmic loss (ELL), Wong et al., 2018, IBM Research, 3d segmentation with exponential logarithmic loss for highly unbalanced object sizes
ELL对Dice损失和交叉熵损失进行指数和对数转换。 通过这种方式,网络可能会被迫本质上更多地关注预测不准确的结构。相当于在之前的基础上,加上了指数,这样就可以更加focus到不太准确的预测上,类似于focal loss的思想。

那怎么选择损失函数?
总的来讲,使用复合损失函数表现会相对好一些。但没有完美的loss函数,只能视具体任务而定。

1377

被折叠的 条评论
为什么被折叠?



