java-springboot南宁师范大学考研信息共享平台my4h0rsg计算机毕业设计(配套有源码 程序 mysql数据库 论文)
本套源码可以在文本联xi,先看具体系统功能演示视频领取,可分享源码参考。
考研打的是“信息战”:招生简章哪天出?参考书目变没变?历年真题哪里找?为了把散落各处的碎片信息拼成一张“作战地图”,我索性用 SpringBoot + MySQL + 微信小程序搭了个“南宁师范大学考研信息共享平台”,让本校考生在同一口锅里“抢热饭”。B/S 架构、跨平台、随用随走,代码开源,只为一届又一届的学弟学妹少走弯路。
平台把用户分为两类:拿着手机的考生与坐在电脑后的运营者;功能覆盖“资讯-资料-交流-激励”全链路,具体如下:
-
用户注册/登录/找回密码
-
个人信息维护(头像、联系方式、密码、积分余额)
-
考研资讯浏览(分类、搜索、点赞、收藏、评论)
-
考研资料下载(PDF、Word、压缩包,支持评论、评分、收藏)
-
备考指导文章(经验贴、时间规划、院校对比,可评论点赞)
-
考研倒计时(首页大标题动态倒计时,后台可配置多条)
-
招生信息推送(标题、作者、来源、发布时间,支持富文本)
-
弹窗提醒(登录弹、节日弹、关键节点弹,定时发布)
-
考研论坛(发帖、回帖、置顶、加精、点赞、踩、收藏)
-
积分商城(商品封面、所需积分、库存、兑换记录)
-
积分兑换(下单扣积分、生成订单、发货状态、物流备注)
-
地址管理(收货人、电话、默认地址开关)
-
收藏夹(资讯、资料、指导、帖子一键收藏)
-
评论与回复(楼中楼、管理员回复、折叠显示)
-
文件上传/下载(资料、图片、附件,带进度条)
-
后台内容审核(敏感词过滤、发布开关、批量删除)
-
系统配置(积分规则、提醒时间、轮播图、关于我们)
-
数据统计(注册量、资料下载量、积分消耗、活跃时段)
从“看资讯”到“下资料”,从“刷经验贴”到“换文创”,再到“发帖求研友”,所有动作一条链路打通;后台一条指令就能让倒计时、弹窗、招生简章同步刷新,真正让信息“活”起来,让备考“动”起来。
注:以上是纯课题毕业设计功能介绍,并非实际开发完成,最终开发完成的毕业设计程序以下面的的环境软件、功能图和界面为准。
系统所需要的环境软件:idea、eclipse+mysql5.7、8.0+Navicat+JDK1.8+tomcat7.0
3 系统分析
由于整个系统都是以网页形式呈现在使用者面前,因此必须要有一个安全的网络环境。本系统基于目前大学校园网络的快速发展与普及,为师生在有限的条件下,提供了便捷、快速的资源查询服务。采用 java语言实现了用户与用户之间的动态互动, MySQL支持多种用户使用权限,满足了中、高数据需求。
现在计算机的性能有了很大的提高,而且它的平均售价已经很低了。从经济情况和投资回报来看,通过比较硬件设施和运行费用,可以从更长期的角度来衡量。主要体现在:一是节省人力、物力;第二,减少人力资源管理中可能存在的错误;第三,全面提高了的工作效率;第四,方便个人查询、更改信息。
因而,本系统具有一定的经济性[8]。
3.1.3操作可行性
该系统具有体积小、占地少、能耗低等特点。学校电脑和校园网络均能满足需求。该系统具有操作简便、直观、易于操作的特点。操作简单,快速,只要经过简单的训练,就能让用户使用[9]。
因此,该系统不仅在操作上可行,而且在实际应用中也是可行的。
在项目开发中,需求分析是进行项目设计和实施的先决条件也是基础。开发者应全面理解和全面分析,并按照使用者的要求,对其进行细致的工作,并具体说明需要完成的工作。在此阶段,系统如何完成工作是不重要的,你只需确认系统正在执行什么工作就可以了[10]。
只要确定该工作是什么,就可以知道该小程序是怎么工作的。南宁师范大学考研信息共享平台的用户是管理员和用户,为了满足现代社会对环保和节约的需要,将传统的纸质文档通过计算机输入计算机并以电子文档的方式显示出来。企业要负责许多方面的工作,其中涉及到考研倒计时、考研资讯、考研论坛等。因此,要建立一个简单、直观的查询渠道,并设定特定的存取权限,以保证工作的顺畅和高效。也就是本系统的使用者进行需求分析的基础上,通过必要的调研,设计出了一个功能结构如图3-1所示的系统。

图3-1 系统的功能结构示意图
系统的运行过程:通过对小程序南宁师范大学考研信息共享平台体系的分析和对比,并结合实际情况提出了一些建议。
采用面向对象的思维方式,以符合实际的功能与性能要求,并进行了创新。为了提升南宁师范大学考研信息共享平台的自动化和友善性,本文提出了一种基于面向对象的思想方法,以适应系统的实际功能与性能要求。在对南宁师范大学考研信息共享平台进行简单的需求分析之后,将其分为二大功能模块:管理员服务端和用户微信端二种,如图3-2所示角色登录结构图。

图3-2系统角色登录结构图
管理员用例分析图,如图3-3所示。

图3-3管理员用例分析图
用户用例分析图,如图3-4所示。

图3-4用户用例分析图
4 系统设计
根据上文中对用户需求的一系列综合细致的分析,针对本文基于SpringBoot的南宁师范大学考研信息共享平台,得到一个如图4-1所示的宏观的功能模块结构图。

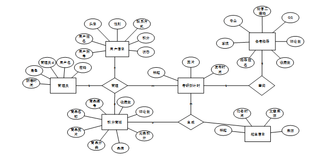
4.2 E-R图设计
通过对南宁师范大学考研信息共享平台的分析和设计得出一个系统E-R图所有实体和属性的定义如下所示。
考研倒计时E-R如图4-2所示。

图4-2 考研倒计时E-R如图
弹窗提醒E-R如图4-3所示:

图4-3弹窗提醒E-R如图
招生信息E-R如图4-4所示:

图4-4招生信息E-R如图
用户信息E-R如图4-5所示:

图4-5用户信息E-R如图
南宁师范大学考研信息共享平台总体E-R如图4-6所示:

图4-6南宁师范大学考研信息共享平台总体E-R如图
5系统运行
5.1用户微信端功能的实现
用户注册界面,第一次使用本小程序的使用者,首先是要进行注册,点击“注册”,然后就会进入到注册的页面里面,将用户信息录入注册表,确认信息正确后,页面才会跳转到登录界面,用户登录成功后可使用本小程序所提供的所有功能,如图5.1所示:

图5.1 用户注册图
以下是注册代码;
<script>
export default {
data() {
return {
ruleForm: {
},
pageFlag : '',
tableName:"",
rules: {},
};
},
mounted(){
this.pageFlag = this.$storage.get("pageFlag");
let table = this.$storage.get("loginTable");
this.tableName = table;
},
created() {
},
destroyed() {
},
methods: {
// 获取uuid
getUUID () {
return new Date().getTime();
},
close(){
this.$router.push({ path: "/login" });
},
yonghutouxiangUploadChange(fileUrls) {
this.ruleForm.touxiang = fileUrls;
},
// 多级联动参数
// 注册
login() {
var url=this.tableName+"/register";
if((!this.ruleForm.yonghuzhanghao) && `yonghu` == this.tableName){
this.$message.error(`用户账号不能为空`);
return
}
if((!this.ruleForm.yonghuxingming) && `yonghu` == this.tableName){
this.$message.error(`用户姓名不能为空`);
return
}
if((!this.ruleForm.mima) && `yonghu` == this.tableName){
this.$message.error(`密码不能为空`);
return
}
if((this.ruleForm.mima!=this.ruleForm.mima2) && `yonghu` == this.tableName){
this.$message.error(`两次密码输入不一致`);
return
}
if(`yonghu` == this.tableName && this.ruleForm.lianxidianhua&&(!this.$validate.isMobile(this.ruleForm.lianxidianhua))){
this.$message.error(`联系电话应输入手机格式`);
return
}
if(this.ruleForm.touxiang!=null) {
this.ruleForm.touxiang = this.ruleForm.touxiang.replace(new RegExp(this.$base.url,"g"),"");
}
this.$http({
url: url,
method: "post",
data:this.ruleForm
}).then(({ data }) => {
if (data && data.code === 0) {
this.$message({
message: "注册成功",
type: "success",
duration: 1500,
onClose: () => {
this.$router.replace({ path: "/login" });
}
});
} else {
this.$message.error(data.msg);
}
});
}
}
};
</script>
用户登录界面,首先双击打开微信小程序端系统,连上网络之后会显示出本系统的登录界面,这是进入小程序的第初始页面“登录”,能成功进入到该登录界面则代表小程序的开启是成功的,接下来就可以操作本系统所带有的其他所有的功能,如图5.2所示:

图5.2 用户登录图
以下是登录代码;
mounted() {
let menus = menu.list();
this.menus = menus;
for (let i = 0; i < this.menus.length; i++) {
if (this.menus[i].hasBackLogin=='是') {
this.roles.push(this.menus[i])
}
}
},
created() {
this.getRandCode()
},
destroyed() {
},
components: {
},
methods: {
//注册
register(tableName){
this.$storage.set("loginTable", tableName);
this.$storage.set("pageFlag", "register");
this.$router.push({path:'/register'})
},
// 登陆
login() {
if (!this.rulesForm.username) {
this.$message.error("请输入用户名");
return;
}
if (!this.rulesForm.password) {
this.$message.error("请输入密码");
return;
}
if(this.roles.length>1) {
if (!this.rulesForm.role) {
this.$message.error("请选择角色");
return;
}
let menus = this.menus;
for (let i = 0; i < menus.length; i++) {
if (menus[i].roleName == this.rulesForm.role) {
this.tableName = menus[i].tableName;
}
}
} else {
this.tableName = this.roles[0].tableName;
this.rulesForm.role = this.roles[0].roleName;
}
this.$http({
url: `${this.tableName}/login?username=${this.rulesForm.username}&password=${this.rulesForm.password}`,
method: "post"
}).then(({ data }) => {
if (data && data.code === 0) {
this.$storage.set("Token", data.token);
this.$storage.set("role", this.rulesForm.role);
this.$storage.set("sessionTable", this.tableName);
this.$storage.set("adminName", this.rulesForm.username);
this.$router.replace({ path: "/index/" });
} else {
this.$message.error(data.msg);
}
});
},
getRandCode(len = 4){
this.randomString(len)
},
randomString(len = 4) {
let chars = [
"a", "b", "c", "d", "e", "f", "g", "h", "i", "j", "k",
"l", "m", "n", "o", "p", "q", "r", "s", "t", "u", "v",
"w", "x", "y", "z", "A", "B", "C", "D", "E", "F", "G",
"H", "I", "J", "K", "L", "M", "N", "O", "P", "Q", "R",
"S", "T", "U", "V", "W", "X", "Y", "Z", "0", "1", "2",
"3", "4", "5", "6", "7", "8", "9"
]
let colors = ["0", "1", "2","3", "4", "5", "6", "7", "8", "9", "a", "b", "c", "d", "e", "f"]
let sizes = ['14', '15', '16', '17', '18']
let output = [];
for (let i = 0; i < len; i++) {
// 随机验证码
let key = Math.floor(Math.random()*chars.length)
this.codes[i].num = chars[key]
// 随机验证码颜色
let code = '#'
for (let j = 0; j < 6; j++) {
let key = Math.floor(Math.random()*colors.length)
code += colors[key]
}
this.codes[i].color = code
// 随机验证码方向
let rotate = Math.floor(Math.random()*60)
let plus = Math.floor(Math.random()*2)
if(plus == 1) rotate = '-'+rotate
this.codes[i].rotate = 'rotate('+rotate+'deg)'
// 随机验证码字体大小
let size = Math.floor(Math.random()*sizes.length)
this.codes[i].size = sizes[size]+'px'
}
},
}
};
微信小程序首页是用户注册登录后进入的第一个界面,用户可通过小程序端首页进入对应的页面或者通过小程序最下面的那一行导航栏中的“首页、考研倒计时、考研资讯、考研论坛、我的”,也可以点击“我的”进入我的页面,在我的页面可以对考研资料、积分兑换、我的收藏、弹窗提醒、我的发贴、修改密码等进行详细操作,如图5.3所示:

图5.3 微信小程序首页实现图
用户点击考研资料,在考研资料页面的输入栏填写资料名称,进行搜索,还可以查看考研资料等信息,如果有需要可以点击收藏或评论等操作,如图5.4所示:

图5.4 考研资料实现图
在我的功能界面,用户点击“我的”进入我的页面,在我的页面可以对考研资料、积分兑换、我的收藏、弹窗提醒、我的发贴、修改密码等进行详细操作,如图5.5所示:

图5.5 我的功能实现图
5.2管理员服务端功能的实现
后台管理员登录,在登录页面选择需要登录的角色,在正确输入用户名和密码后,管理员登录功能实现图如图5.6所示:

图5.6 管理员登录功能实现图
当管理员登录时,需选择管理员身份权限。系统将会调用LoginController进行判断,并对输入的信息与数据库中的相关信息进行比对。若验证通过,则会自动跳转至管理员主页面;若未能通过验证,则会重新跳转至登录页面并给出相应的验证失败提示,以避免再次出现同样的错误。管理员服务端功能实现页面如图5.7所示:

图5.7 管理员服务端功能实现图
管理员可以在用户管理界面进行用户信息的管理,包括增删改查操作,可以根据用户名,索搜到相应的用户信息,并进行增删改查操作。如图5.8所示:

图5.8 用户管理功能实现图
管理员可以在考研资料管理界面进行考研资料的管理,包括删改查操作,可以根据资料名称、资料类别、学院,索搜到相应的考研资料管理,并进行删改查操作。如图5.9所示:

图5.9 考研资料管理功能实现图
管理员可以在备考指导管理界面进行备考指导的管理,包括增删改查操作,可以根据指导姓名、学院、专业,查询到相应的备考指导,并进行增删改查操作。如图5.10所示:

图5.10备考指导管理功能实现图
管理员可以在积分商城管理界面进行积分商城的管理,包括增删改查操作,可以根据商品名称、品牌,查询到相应的积分商城管理,并进行增删改查操作。如图5.11所示:

图5.11 积分商城管理功能实现图
管理员可以在积分兑换管理界面进行积分兑换信息的管理,包括删改查操作,可以根据商品名称、商品分类、用户姓名,查询到相应的积分兑换管理,并进行删改查操作。如图5.12所示:

图5.12积分兑换管理功能实现图
管理员可以在考研倒计时管理界面进行考研倒计时管理的管理,包括增删改查操作,可以根据标题、详情,查询到相应的考研倒计时管理,并进行增删改查操作。如图5.13所示:

图5.13 考研倒计时管理能实现图
管理员可以在招生信息管理界面进行招生信息管理的管理,包括增删改查操作,可以根据标题、作者、内容,查询到相应的招生信息管理,并进行增删改查操作。具体的界面如图5.14所示:

图5.14 招生信息管理功能实现图
源码无偿分享,文未领取

被折叠的 条评论
为什么被折叠?



