java-springboot警务资格在线学习管理系统x69690nl计算机毕业设计(配套有源码 程序 mysql数据库 论文)
本套源码可以在文本联xi,先看具体系统功能演示视频领取,可分享源码参考。
执法环境日新月异,法律法规、实战技能、新型犯罪手段都在快速迭代,传统“集中面授+纸质考试”的培训模式已难以满足基层民警随时学、即时测、即时用的需求。借助 SpringBoot+MySQL+B/S 架构,把学习资源、学习过程、学习评估全部搬到线上,实现“碎片化学习、精准化推送、数据化评估”,是本次系统设计的初衷。
系统覆盖的功能如下:
-
个人中心(信息维护、头像、签名、状态)
-
用户管理(账号、性别、手机、邮箱)
-
法规类型与法律法规(编号、名称、类型、封面、发布/生效日期、适用范围、修订历史、附件、全文内容、评论、收藏)
-
案例分类与案例分析(标题、分类、封面、视频、事件描述、分析、发布日期、评论、收藏)
-
通用分类管理(课程、资料、视频等多级目录)
-
课程资料(名称、分类、封面、适用对象、作者、出版社、简介、附件、内容、评论、收藏)
-
名师精讲(课程名称、分类、视频分类、封面、讲师、简介、推荐指数、适合人群、详情、评论、收藏)
-
学习进度(课程、视频封面、账号、姓名、进度百分比、进度内容、学习时间)
-
在线笔记(编号、标题、封面、内容、记录时间、账号、姓名)
-
在线考试管理(考试名称、时长、状态)
-
试题库与试题管理(单选、多选、判断、填空、主观题、分值、解析、排序)
-
考试记录与错题本(用户答案、得分、批卷状态、解析回显)
-
留言反馈(图文留言、管理回复)
-
经验交流(帖子、父子级回复、置顶、状态)
-
好友列表与即时聊天(好友申请、文字/图片消息、已读状态)
-
公告信息分类与公告(标题、简介、分类、发布人、点击、点赞、收藏)
-
系统简介与轮播图(标题、副标题、富文本、多图)
-
系统日志(操作人、方法、参数、耗时、IP)
-
配置参数(全局变量、URL、开关)
-
收藏与点赞(课程、案例、法规、资讯一键收藏)
一句话总结:把“学、练、考、评、聊、管”六个环节装进同一浏览器窗口,让警务学习从“集中突击”变成“随时随地”,让培训数据从“纸质台账”变成“实时资产”。
注:以上是纯课题毕业设计功能介绍,并非实际开发完成,最终开发完成的毕业设计程序以下面的的环境软件、功能图和界面为准。
系统所需要的环境软件:idea、eclipse+mysql5.7、8.0+Navicat+JDK1.8+tomcat7.0
3.1 系统可行性分析
为满足用户的需求,本章分析系统开发的可行性,将从技术、操作社会等方面来判断,然后通过需求分析、用例分析和系统流程分析来确定警务资格在线学习管理系统的功能。
3.1.1 技术可行性分析
警务资格在线学习管理系统在使用电脑和信息分析系统这些设计没有硬性要求,电脑只要是可以正常使用的话,那么代码和页面设计就是可行的。要求高的主要是服务器,平台上传服务器一定要选择性价比高和安全性高的,打开网站一定要顺滑不卡顿,所以硬件也是可行的。
所以,从以上可行性分析可得,本系统的开发使没有问题的。
3.1.2 操作可行性分析
将根据管理系统中的用户体验和管理员的效率来分析该措施的可行性。管理人员和用户都可以通过简单的操作登录进对应的系统页面,方便用户查询业务信息和管理人员管理数据,不需要特别懂电脑的人也可以轻松访问系统模块。该系统已完全投入使用。
3.1.3 社会可行性
广义上讲,社会可行性包括道德方面、法律方面和社会方面,每一个方面都会影响制度的形成。这个系统是独立的,不具有任何信息传播的性质,更不涉及道德层面、法律层面;本系统也没有触发法,没有赌博、黄色等类型的信息,也符合国家法律,不会显示任何触发法信息;就社会而言,本系统是一个轻量级的警务资格在线学习管理系统,方便用户提供更好的服务。它将给人们带来快速有效的查询功能,也具有一定的贡献意义。总的来说,该系统在社会上也是可行的。
3.2 需求分析
本警务资格在线学习管理系统是为了提高用户查阅信息的效率和管理人员管理信息的工作效率,可以快速存储大量数据,还有信息检索功能,这大大的满足了用户和管理员这两者的需求。操作简单易懂,合理分析各个模块的功能,尽可能优化界面,让用户和管理员能使用环境更好的系统。
对比要实现的功能来分析出用户的需求,可以让用户在线对其进行添加、修改、查看、删除,这不仅满足了用户的需求,还大大的节省了时间。因此,管理员的需求也应当考虑一下,尽可能提高管理员的工作效率。
3.3 项目设计目标
本系统采用Mysql数据库和java语言,SpringBoot框架进行开发而成,极大程度上的保证了系统的稳定性。
3.3.1 关于系统的基本要求
(1)功能要求:管理人员可以对个人中心、用户、法规类型、案例分类、分类、课程资料、名师精讲、学习进度、在线笔记、法律法规案例分析、在线考试管理、试题管理、留言反馈、经验交流、系统管理、考试管理等进行管理 [3]。
(2)性能:可以准确无误的在不同的操作系统中登录到管理员和用户的相应界面进行轻松的操作。
(3)环境要求:支持不同的操纵系统和不同的平台,可用于Windows系列、Vista系统等多种操作系统。
3.3.2开发目标
本警务资格在线学习管理系统的主要开发目标如下:
(1)减少后台管理人员的工作量,对用户的信息进行系统的管理;
(2)必须要方便快捷的查看查询信息并管理信息;
(3)用户是具有多样性的,所以界面要设置的简单明了,操作更要方便快捷。
3.4 系统用例分析
警务资格在线学习管理系统综合网络空间开发设计要求。目的是将传统管理方式转换为在网上管理,完成警务资格在线学习的方便快捷、安全性高、交易规范做了保障,目标明确。警务资格在线学习管理系统可以将功能划分为管理员功能和用户功能。
(1)管理员关键功能包含个人中心、用户、法规类型、案例分类、分类、课程资料、名师精讲、学习进度、在线笔记、法律法规案例分析、在线考试管理、试题管理、留言反馈、经验交流、系统管理、考试管理等进行管理。管理员用例如下:

图3-1 管理员用例图
(2)用户关键功能包含修改密码、好友列表、聊天记录、学习进度、在线笔记、我的发布、考试记录、错题本、我的收藏等进行管理。用户用例如下:

图3-2 用户用例图
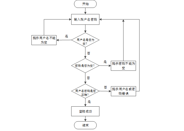
3.5 系统流程分析
系统登录流程图如图所示3-3所示。

图3-3 系统登录流程图
用户和管理员可以添加信息,内容没有问题之后按下确定键就添加成功了。添加信息流程图如图3-4所示.

图3-4 添加信息流程图
用户可以选择把自己发布的信息删掉,选择要删除的文章确认之后,删除信息的操作就完成了。删除信息流程图如图3-5所示。

图3-5 删除信息流程图
3.6 本章小结
本章主要是对警务资格在线学习管理系统的可行性分析和所要实现的功能进行分析,在对一系列的系统可行性分析之后,又详细的讲述了项目的目标与原则,让人们深刻的了解警务资格在线学习管理系统的设计思想,之后重点对登录模块、添加模块和删除模块的流程进行了详细的图文介绍。
本章主要讲述的是警务资格在线学习管理系统的设计开发结构,简单介绍了开发流程与数据库设计的原则以及数据表的关系结构图,并且详细的展示了数据表的内部结构信息与属性。
4.1 系统体系结构
系统启动后,在登录界面,输入正确的账号密码,选择进入管理员界面和用户界面,管理员界面是用来管理页面与其他用户信息,用户界面可以正常的使用,并进行份内的操作,系统登录结构图如图4-1所示。

图4-1 系统登录结构图
管理员模块属于是网站的后台,进入之后有大量的管理员功能,管理员也可以使用其他用户模块的功能,为了维护网站的稳定与页面的布局,将管理员模块的功能详细化后可以使用系统管理对页面进行布局修改,可以发布公告提示用户规范,警务资格在线学习管理系统总体结构如图4-2所示。

图4-2 系统总体结构图
4.2 数据库设计原则
数据库设计之后,根据数据库关系,可以更加清晰地了解到数据库结构,每一个数据表之间的关系,再创建数据表。快速更改和查询对应的信息,有了数据库就不用在程序和代码中寻找。
分析警务资格在线学习管理系统的数据结构后,在系统中将“公告信息、留言反馈、学习进度、案例分析评论、在线笔记、系统简介”等作为实体,它们的局部E-R如下图所示:

图4-3 局部E-R图
第5章 系统实现
本章讲述的是系统对各个模块功能实现的效果图,对管理员功能、用户功能分别进行了展示,页面布局清晰,操作简单快捷,基本实现了对用户和管理员对系统的需求。
5.1 系统前台功能实现
当人们打开系统的网址后,首先看到的就是首页界面。在这里,人们能够看到系统的导航条,通过导航条导航进入各功能展示页面进行操作。系统首页界面如图5-1所示:

图5-1 系统首页界面
系统注册:在注册流程中,用户在Vue前端填写必要信息(如用户名、密码等)并提交。前端将这些信息通过HTTP请求发送到Java后端。后端处理这些信息,检查用户名是否唯一,并将新用户数据存入MySQL数据库。完成后,后端向前端发送注册成功的确认,前端随后通知用户完成注册。这个过程实现了新用户的数据收集、验证和存储。系统注册页面如图5-2所示:

图5-2系统注册页面
名师精讲:在名师精讲页面查询课程名称、讲师和适合人群可以查看到名师精讲信息,并根据需要进行收藏和评论操作;名师精讲页面如图5-3所示:

图5-3名师精讲详细页面
公告信息:在公告信息页面的输入栏中输入标题进行查询,可以查看到公告详细信息,并根据需要进行点赞或收藏操作;公告信息页面如图5-4所示:

图5-4公告信息详细页面
个人中心:在个人中心页面通过填写个人详细信息进行更新操作,还可以对修改密码、好友列表、聊天记录、学习进度、在线笔记、我的发布、考试记录、错题本、我的收藏进行详细操作;如图5-5所示:

图5-5个人中心界面
5.2管理员模块实现
在登录流程中,用户首先在Vue前端界面输入用户名和密码。这些信息通过HTTP请求发送到Java后端。后端接收请求,通过与MySQL数据库交互验证用户凭证。如果认证成功,后端会返回给前端,允许用户访问系统。这个过程涵盖了从用户输入到系统验证和响应的全过程。如图5-6所示。

图5-6 管理员登录界面
管理员进入主页面,主要功能包括对个人中心、用户、法规类型、案例分类、分类、课程资料、名师精讲、学习进度、在线笔记、法律法规案例分析、在线考试管理、试题管理、留言反馈、经验交流、系统管理、考试管理等进行操作。管理员主页面如图5-7所示:

图5-7 管理员主界面
用户功能在视图层(view层)进行交互,比如点击“查询、添加或删除”按钮或填写用户表单。这些用户表单动作被视图层捕获并作为请求发送给相应的控制器层(controller层)。控制器接收到这些请求后,调用服务层(service层)以执行相关的业务逻辑,例如验证输入数据的有效性和与数据库的交互。服务层处理完这些逻辑后,进一步与数据访问对象层(DAO层)交互,后者负责具体的数据操作如查看、修改或删除用户信息,并将操作结果返回给控制器。最终,控制器根据这些结果更新视图层,以便用户功能可以看到最新的信息或相应的操作反馈。如图5-8所示:

图5-8用户界面
法规类型功能在视图层(view层)进行交互,比如点击“查询、添加或删除”按钮或填写法规类型表单。这些法规类型表单动作被视图层捕获并作为请求发送给相应的控制器层(controller层)。控制器接收到这些请求后,调用服务层(service层)以执行相关的业务逻辑,例如验证输入数据的有效性和与数据库的交互。服务层处理完这些逻辑后,进一步与数据访问对象层(DAO层)交互,后者负责具体的数据操作如查看、修改或删除法规类型信息,并将操作结果返回给控制器。最终,控制器根据这些结果更新视图层,以便法规类型功能可以看到最新的信息或相应的操作反馈。如图5-9所示:

图5-9法规类型界面
课程资料功能在视图层(view层)进行交互,比如点击“查询、添加或删除”按钮或填写课程资料表单。这些课程资料表单动作被视图层捕获并作为请求发送给相应的控制器层(controller层)。控制器接收到这些请求后,调用服务层(service层)以执行相关的业务逻辑,例如验证输入数据的有效性和与数据库的交互。服务层处理完这些逻辑后,进一步与数据访问对象层(DAO层)交互,后者负责具体的数据操作如查看、修改、查看评论或删除课程资料,并将操作结果返回给控制器。最终,控制器根据这些结果更新视图层,以便课程资料功能可以看到最新的信息或相应的操作反馈。如图5-10所示:

图5-10课程资料界面
名师精讲功能在视图层(view层)进行交互,比如点击“查询、添加或删除”按钮或填写名师精讲表单。这些名师精讲表单动作被视图层捕获并作为请求发送给相应的控制器层(controller层)。控制器接收到这些请求后,调用服务层(service层)以执行相关的业务逻辑,例如验证输入数据的有效性和与数据库的交互。服务层处理完这些逻辑后,进一步与数据访问对象层(DAO层)交互,后者负责具体的数据操作如查看、修改、查看评论或删除名师精讲信息,并将操作结果返回给控制器。最终,控制器根据这些结果更新视图层,以便名师精讲功能可以看到最新的信息或相应的操作反馈。如图5-11所示:

图5-11名师精讲界面
5.3 本章小结
本章讲述了警务资格在线学习管理系统的实现,并把管理员和用户两大模块用图片的形式展示出来并一一解读了其中的功能。设计的页面简洁,布局清晰,操作十分快捷,极大程度的节约了操作时间。
源码无偿分享,文未领取

被折叠的 条评论
为什么被折叠?



