一、设计目的:
1.1 课程设计教学目的
本课程设计是本专业的一门重要实践性教学环节。在学习了专业基础课和《Python程序设计》课程的基础上,本课程设计旨在加深对Python程序设计的认识,对Python语言及其语言生态有一个进一步的掌握和应用,学会运用Python标准库及外接相关库来解决实际问题的基本能力,培养和提高学生分析问题、解决问题的能力,尤其是提高学生使用Python为开发语言来进行问题描述、交流与思考的能力,为毕业设计和以后的工程实践打下良好的基础。
1.2 本课程设计具体目的
经过小组讨论分析,我们最终选择了“五子棋”作为本次课设主题。
五子棋起源于中国上古时期的传统黑白棋种之一。主要流行于华人和汉字文化圈的国家以及欧美一些地区,是世界上最古老的棋。古代五子棋棋盘与围棋棋盘是通用的,直到1931年,才出现所谓五子棋专用棋盘,为十五路(15×15)棋盘。现在人们压力日益增大,需要劳逸结合才能获得更高的工作效率,工作之余的娱乐对于每一个人来说必不可少。五子棋这种娱乐方式容易上手,老少皆宜,而且趣味横生,引人入胜;不仅能增强思维能力,提高智力,而且富含哲理,有助于修身养性。
二、课程设计任务和要求
2.1 课程设计教学任务和要求
本次课程设计的主要任务是以Python为开发语言完成一个100~300行左右规模的程序项目开发。
课程设计的基本要求是:在课程设计的各个阶段严格、规范地完成相关的文档,例如在初期按时完成设计目的、设计要求、总体设计,在后期完成详细设计、调试与测试、设计总结等。要求能完成所选题目的主要功能,程序运行健壮、正确,代码要有详细注释,可读性好;所写文档结构合理、内容完整、叙述清晰。更高要求是:有创意、系统界面美观。
由于课程设计项目具有一定的综合性,鼓励具有不同特长和不同能力的学生互相组队。项目小组自己推荐一名组长,实行“组长负责制”。组长组织组员进行项目选题、任务分配、方案确定、方案设计、系统调试测试,组员分工协作。小组成员开展项目讨论,互相支持,形成协作意识。
2.2 本课程设计具体任务和要求
-
有图形界面,能够用鼠标进行操作。
-
能够进行五子棋游戏的基本操作,即玩家轮流落子。
-
能够对游戏结果进行正确的判定。
-
能够实现悔棋及认输等附加功能。
-
各项功能的展示与应用直观明了。
-
输出必要的提示信息让玩家更好地进行游戏。
三、总体设计:
基于Python的标准GUI库tkinter快速创建GUI应用程序。
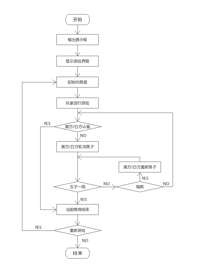
运行程序提示可开始游戏。人人对战,二人轮流落子。界面显示提示信息当点轮到哪一方落子。先有五子“—”或“|”或“/”或“\”连成一线的玩家获胜。若棋盘中棋子已满,玩家均为完成五子相连则判定为平局。当黑方获胜或白方获胜或平局时及时作出判定,并弹出提示框,告知玩家当前对局结束。
3.1 小组成员及任务分配情况
组员:吴佳丽余叶钰刘璐瑶
任务分配:
:负责玩家操作模块设计,包括落子、悔棋及认输。
:负责游戏的可视化设计,包括游戏界面设计及棋盘设计。
棋盘设计部分包括运行程序开始游戏及重新开局时初始化棋盘。
:负责判定游戏结果即玩家胜负或平局判定
3.2 程序功能图

3.3 整体流程图

四、设计实现
4.1 最终实验结果
游戏主界面
启动程序运行游戏,弹出提示框,提示玩家游戏开始,黑方先进行落子。玩家可点击棋盘无棋子处进行落子。或点击“开局”、“悔棋”、“认输”按钮可重新开局或悔棋或认输。当点击“开局/重新开局”按钮时,清空棋盘中的棋子,展示处与启动程序相同的游戏界面。界面中间“黑方”与“落子”二处文字为游戏进行中的提示信息,表示当前轮到黑方进行棋子放置。轮到白方落子时会“黑方”将自动更改为“白方”,“白方”二字以白色显示。如图4-1所示。


玩家获胜后界面
如图4-2所示,若有一方玩家存在“—”或“|”或“/”或“\”五子相连,该玩家取得该局游戏胜利。以图中所示情况——黑方“/”五子相连为例,说明玩家取胜结果。通过黄色线条将黑方连成一线的五颗棋子相连接,此时界面中间提示信息改为“黑方获胜”,“获胜”二字以红色显示。并弹出消息提示框,提示玩家游戏结束黑方完成五子相连,取得胜利。若此时点击悔棋按钮,将提示玩家此时不能悔棋。如图4-3所示;点击认输按钮,将提示玩家点击开局开始游戏,如图4-4所示。


平局情况
当玩家双方都没有完成五子连线,且棋盘中所有棋格都有棋子放置即无处置放棋子时,判定为平局。
为更方便展示,将棋盘改为5*5大小。如图4-5所示,中间提示文字变更为绿色字样“平局??!”,同时弹出消息提示框,提示玩家当前对局结束,双方达成平局。此时游戏结束,玩家不可再悔棋或认输,若玩家点击悔棋或认输按钮,效果与有一方玩家获胜时相同。即游戏界面不做改变,弹出消息提示框,该消息提示框与图4-3、图4-4中消息提示框相同,不再重复展示。


玩家认输
在一局游戏过程中,若玩家首次点击认输按钮。棋盘不做改变,游戏界面中间文字“落子”变为“认输”如图4-6所示。此时游戏结束,玩家不可再悔棋或认输,若玩家点击悔棋或认输按钮,效果与有一方玩家获胜时相同。即游戏界面不做改变,弹出消息提示框,该消息提示框与图4-3、图4-4中消息提示框相同,不再重复展示。
玩家悔棋
游戏过程中,若一个回合内该玩家首次进行悔棋,取回该玩家刚放置到棋盘上的棋子,并将中间的提示信息“某方落子”改回到该玩家。以黑方悔棋为例,悔棋前及悔棋后游戏部分界面分别如图4-7、图4-8所示。若该玩家在一个回合内已经进行过悔棋操作,再次点击悔棋按钮,则不改变游戏界面及棋盘,但回弹出提示框此时不能悔棋,该消息提示框及提示信息与获胜时点击悔棋按钮,即图4-4中的提示框相同。


4.2 实验结果评价
窗体界面直观明了,游戏过程中有适当的提示信息有助于玩家更好的进行游戏。同时窗体的颜色搭配即窗体大小设置合适。玩家不会因游戏界面颜色冲击或棋盘、文字信息等过大过小产生疲劳。程序能对游戏结果进行正确的判定,悔棋及认输这两个附加功能也能够实现。课程设计最初定下的功能和要求均能实现。在此基础上,玩家完成五子相连时用黄色线条标记,让玩家能有更好的体验。还加上了一个回合内只允许玩家各悔棋一次,增加挑战,让游戏更加有趣。
小组超额完成了最初想要实现的功能和要求,所以我们给自己评价为优秀!
当然这个小程序也很多不足之处。例如没有标记出最后放置的棋子,玩家悔棋后也没有标记出悔棋前的棋子等等。我们往后也应努力学习,做的更好。
五、详细设计
5.1 模块设计
所负责部分大致可分为三大模块。首先,判断游戏胜负的四种情况,即横、竖、斜方向五子一线;其次,判断棋盘是否可以继续下棋,即是否平局;最后,判断玩家输赢,并弹出提示框。
5.2 程序流程图

5.3 具体算法分析
引用tkinter库
from tkinter import*
from tkinter import messagebox
Tkinter库:
Tkinter是Python 的标准 GUI 库。Python 使用 Tkinter 可以快速的创建 GUI 应用程序。由于 Tkinter 是内置到 python 的安装包中、只要安装好 Python 之后就能 import Tkinter 库、而且 IDLE 也是用 Tkinter 编写而成、简单的图形界面可以由Tkinter 库完成。
Messagebox 函数分析:
函数定义:<整型> MessageBox(<字符串> Text, <字符串> Title, <整型> nType);
函数功能: 弹出一个消息框。
参数:
Text <字符串>,消息框的正文;
Title <字符串>,消息框的标题;
nType <整型>,消息框的类型。
返回值:<整型>,用户在消息框上点击关闭时的选择的按钮。
说明:
nType对应的对话框如下表所示:
-
0: 确定
-
1: 确定,取消
-
2: 终止,重试,忽略
-
3: 是,否,取消
-
4: 是,否
-
5: 重试,取消
-
6: 取消,再试一次,继续
返回值对应的值如下:
-
1: 确定
-
2: 取消
-
3: 终止
-
4: 重试
-
5: 忽略
-
6: 是
-
7: 否
-
:再试一次
胜负情况判断:
自定义panduan()函数并利用for语句循环,判断棋子是否为横、竖、斜五子连线,列表QP[a][b]中必须满足 0 <= a,b <= 17,i、j必须严格控制。若有五子连线情况发生,在棋子上增加一条黄色标记线贯穿五子,更易看出。
代码如下:
def panduan():
iswin = 0 #标记是否有一方完成五子相连,0代表否
for i in range (num-4):
for j in range (num): #判断是否出现有一方"—"五子相连
If QP[i][j]==QP[i+1][j]==QP[i+2][j]==QP[i+3][j]==QP[i+4][j] != -1:
iswin=1 canvas.create_line(mesh*(i+1)-Qr/2,mesh*(j+1),mesh*(i+5)+Qr/2,mesh*(j+1),fill="yellow")
win()
for i in range (num):
for j in range (num-4): #判断是否出现有一方"|"五子相连
if QP[i][j]==QP[i][j+1]==QP[i][j+2]==QP[i][j+3]==QP[i][j+4] != -1:
iswin=1 canvas.create_line(mesh*(i+1),mesh*(j+1)-Qr/2,mesh*(i+1),mesh*(j+5)+Qr/2,fill="yellow")
win()
for i in range (num-4):
for j in range (num-4): #判断是否出现有一方"\"五子相连 if QP[i][j]==QP[i+1][j+1]==QP[i+2][j+2]==QP[i+3][j+3]==QP[i+4][j+4] != -1:
iswin = 1
canvas.create_line(mesh*(i+1)-Qr/2,mesh*(j+1)-Qr/2,mesh*(i+5)+Qr/2,mesh*(j+5)+Qr/2,fill="yellow")
win()
for i in range (num-4):
for j in range (4,num): #判断是否出现有一方"/"五子相连
if QP[i][j]==QP[i+1][j-1]==QP[i+2][j-2]==QP[i+3][j-3]==QP[i+4][j-4] != -1:
iswin=1 canvas.create_line(mesh*(i+1)-Qr/2,mesh*(j+1)+Qr/2,mesh*(i+5)+Qr/2,mesh*(j-3)-Qr/2,fill="yellow")
win()
函数及语句分析:
for循环:
作用:for循环语句是python中的一个循环控制语句,任何有序的序列对象内的元素都可以遍历,比如字符串、列表、元组等可迭代对像。
一般格式:第一行是要先定义一个赋值目标(迭代变量),和要遍历(迭代)的对像;首行后面是要执行的语句块。
for 目标 in 对像:
print赋值目标
循环过程: i相当于目标,range(num)是遍历对像。当运行for循环语句时,每一次迭代时,i都会从遍历对像range(num)中接收一个新值输出。结束循环后,目标i会保留最后一个值
Canvas组件:
Python Tkinter 画布(Canvas)组件和 html5 中的画布一样,都是用来绘图的。可以将图形、文本、小部件或框架放置在画布上。canvas.create_line()主要实现的是画一条直线,后面()中给的参数就是线段两点的坐标,两点确定一条直线。
Canvas 组件支持以下标准选项:
arc 创建一个扇形
coord = 10, 50, 240, 210
arc = canvas.create_arc(coord, start=0, extent=150, fill="blue")
image 创建图像
filename = PhotoImage(file = "sunshine.gif")
image = canvas.create_image(50, 50, anchor=NE, image=filename)
line 创建线条
line = canvas.create_line(x0, y0, x1, y1, ..., xn, yn, options)
oval 创建一个圆
oval = canvas.create_oval(x0, y0, x1, y1, options)
polygon 创建一个至少有三个顶点的多边形
oval = canvas.create_polygon(x0, y0, x1, y1,…xn, yn, options)
判断是否平局
分析:定义一个列表boring记录每个棋格的状态,包括棋格是否有棋子,若有棋子是为黑棋还是白棋。For循环语句遍历棋盘(列表QP[a][b]中必须满足 0 <= a,b <= 17,i、j必须严格控制),当棋盘中不存在无棋子的棋格且双方均未完成五子连线,判定为平局并弹出提示框。
代码如下:
boring=[] #遍历棋盘,记录每个棋格状态
for i in range(num):
for j in range(num):
boring.append(QP[i][j])
if -1 not in boring and iswin != 1:
print(messagebox.askokcancel('游戏结束','旗鼓相当!平局!'))
append()函数
描述:append() 方法用于在列表末尾添加新的对象。
用法: list.append(obj) obj为添加到列表末尾的对象
返回值:该方法无返回值,但是会修改原来的列表。
本例应用:
boring.append(QP[i][j])
作用是将最新遍历的棋格状态添加到boring列表最后。
输出分析
输出提示框,显示游戏结束,旗鼓相当!平局!
print(messagebox.askokcancel('游戏结束','旗鼓相当!平局!')
函数分析:
messagebox.askokcancel()是tkinter库中的一个组件,用来设置一个消息框。
askokcancel()设置对话框的主要文本内容,可以用’\n’来实现换行
返回值为Boolean类型。
判断玩家输赢
分析:判断黑子还是白子获胜,弹出提示框,显示“游戏结束,黑方五子相连!获胜!”或“游戏结束,白方五子相连!获胜!”。
变量设置:global设置全局变量stop,hq。其中tag为之前定义的,tag标记执棋方,0代表黑方,1代表白方 ;stop标记游戏状态,0代表游戏进行中,1代表游戏结束;hq标记是否可悔棋,0代表不可以,1代表可以。
代码如下:
def win():
global stop,hq
a.config(text=key[(tag+1)%2],fg=color[(tag+1)%2])
b.config(text = "获胜",fg='red')
stop,hq = 1,0 #决出胜负后游戏结束,不可悔棋
if tag == 0:
r=messagebox.askokcancel('游戏结束','白方五子相连!获胜!')
else:
r=messagebox.askokcancel('游戏结束','黑方五子相连!获胜!')
print(r)
前要:
a = Label(tk,text=key[tag],fg=color[tag],bg = "pink",font = ("楷体", "18", "bold"))
b = Label(tk,text= "落子" ,fg=color[tag],bg = "pink",font = ("楷体", "18", "bold"))
函数分析:
a.config(text=key[(tag+1)%2],fg=color[(tag+1)%2])
b.config(text = "获胜",fg='red')
通过tag判断棋子的颜色,弹出的消息框中获胜的字体为红色。
六、调试与测试
6.1 调试方法
logging 调试法
把print()替换为logging,logging不会抛出错误,而且可以输出到文件。
它允许你指定记录信息的级别,有debug,info,warning,error等几个级别,当我们指定level=INFO时,logging.debug就不起作用了。同理,level=WARNING后,debug和info就不起作用了。这样一来,就可以放心地输出不同级别的信息,也不用删除,最后统一控制输出哪个级别的信息。logging的另一个好处是通过简单的配置,一条语句可以同时输出到不同的地方。
启动Python的调试器pdb
使用pdb进行调试,pdb是python自带的一个包,为python程序提供了一种交互的源代码调试功能,主要特性包括设置断点、单步调试、进入函数调试、查看当前代码、查看栈片段、动态改变变量的值等。
pdb常用命令如下:
图6-1 pdb常用命令表

步骤如下:
[1]让程序以单步方式运行,可以随时查看运行状态。
[2]以参数-mpdb启动后,pdb定位到下一步要执行的代码->s=‘0’。输入命令l来查看代码
[3]输入命令n可以单步执行代码
[4]任何时候都可以输入命令p变量名来查看变量
[5]输入命令q结束调试,退出程序
6.2 测试结果分析与讨论
黑子右斜五子连线,黑方获胜

黑方五子竖连线,黑方获胜

黑子左斜五子连线,黑方获胜

白子五子横连线,白方获胜

本文档详述了一项Python课程设计,旨在通过实现五子棋游戏来提升学生对Python语言和GUI编程的理解。项目采用tkinter库创建图形界面,支持玩家轮流落子、悔棋和认输等功能,并能正确判断游戏结果。游戏界面直观,功能实现完整,包括胜负判定和附加功能,得到小组内部的优秀评价。

8731





