©作者 | Alex
美国一项交通事故数据的分析得出:94% 的交通事故责任在驾驶员,其中 31% 由于疏忽,10% 由于注意力不集中。
巨大社会效益意味着巨大的社会需求,过去 30 年学术界和工业界持续不断的增加对无人驾驶领域的投入,近年来传感器、计算技术的突破引起了引燃了这个行业。
从各项赛事到车企的运营,我们似乎看到自动驾驶正逐渐走入现实。
100 年漫长的历史
自动驾驶技术器其实并非新事物,二是已经走过了 100年漫长的历史,早在 1920 年代就已经提出,直到1980 Ernst Dickmanns领导的工作 PROMETHEUS project 为后续的发展铺平了道路,令其看起来可行。
1994 VaMP 无人驾驶车在 95% 时间无人干预情况下,完成了 1600km 旅程,CMU NAVLAB在1995 年 98% 时间无人干预情况下更是行使了500km穿越美国。
接下来是各种挑战赛:2004 年 DARPA Grand Challenge,要求车辆完成 150-mile 越野赛,遗憾的是参赛的15辆车都没有完成任务。2005 年相似的任务,23 支队伍 5 支抵达终点。2007 年DARPA Urban挑战赛 6 只队伍完成比赛,证明在城市环境下自动驾驶的可行性。之后不断有各种大事件和挑战赛举办,同时研究不断深入和加速。
Google 自动驾驶车辆和 Tesla 已经在商业上取得巨大成功。国内自动驾驶也如火如荼。
关于自动驾驶的自动化程度
SAE J3016 给出一个标准,将车辆自动驾驶的程度分为 0-5 个级别,
● 0-人类驾驶。
● 1-只有辅助自动驾驶,包括自适应巡航控制 + 反锁死制动系统 + 电子稳定控制。
● 2-高级辅助功能,如风险最小化,紧急制动。
● 3-系统可以监控环境,可实现某种条件下的完全自动驾驶,但需要驾驶员在超过规定范围时接管驾驶权。
● 4-在某些情况下可以自动驾驶,在需要干预的时候即使驾驶员不能够接管车辆也可以保证车辆安全。
● 5-在所有模式下自动驾驶。
不只是驾驶
无人驾驶走向现实离不开成熟的环境,车载硬件计算能力和无线通信能力使得车辆间可以交换信息,车辆与道路基础设施之间可以通信,并由此带动新的研究领域比如交通安全、效率、信息协调、智慧城市等。
本文将话题限制在决策、运动规划、车辆控制三个方面。
01 决策
无人驾驶车辆本质上是基于观测数据流和先验只是的决策系统,观测数据来自: 车载雷达、激光雷达、相机、GPS/INS 、里程计。
这些观测结合从路网获取的先验知识:交通规则、车辆动态及传感器模型–判断车辆状态、环境状态,做出规划、决策,控制车辆运动。

图 1.1: 无人驾驶决策层次
决策包含 4 个层次
● 根据路网决定从当前位置去往目的地,需要经行的路线。
● 根据交通规则指定局部驾驶任务。
● 选择连续路径并通过环境局部导航。
● 修正运动规划的执行误差。
1.1 A. 路线规划
实现自动驾驶首先要通过路网确定当前位置并选出去往目的地的路线。将路网表示为有向图,边表示为通过路段的代价。通过选择最小代价总和,选出行车路线。
这样的表示可能存在几万条边,可以通过 Dijkstra 或 A* 寻找最短路径不太实用。有效的路径规划算法–如何在大陆规模的路网中,经过预处理,以毫秒的时间消耗返回最优路径是一个研究热点。
1.2 B. 行为决策
确定了驾驶路线后,Behavioral 层的作用是在任意时刻感知其他交通参与者的行为、基础设施信号、并遵守交通规则选择驾驶行为。
驾驶手册明确规范了驾驶上下文中的操作。因为上下文环境和可操作行为可以建模为有限集合。自然可将每种行为建模成有限状态机。
一些车队 (如 DARPA Urban challenge 很多参赛队) 将针对各种场景的有限状态机和启发式规则作为行为决策的依据。真实驾驶环境中其他交通参与者的行为、意图存在很多不确定性。
应对这些不确定性是行为决策层要考虑的问题,大量的研究关注交通参与者的意图预测及轨迹估计,如高斯混合模型、高斯过程回归,从传感器数据直接估计意图的基于模型的方法。
这种不确定性通常建模为马尔科夫决策过程 (MDPs)。
1.3 C. 运动规划
行为决策得出驾驶操作如:循线巡航、变道、右转等。行为需要进一步转化为路径或轨迹输入给低层反馈控制器,这些路径或轨迹必须满足:1)对车辆是可行的,2)对乘客是舒适的,3)车载传感器监测无碰撞。运动规划负责选择这样的路径或轨迹。
准确的运动规划解难以计算、通常采用数值近似。最常用的是将问题建模为函数空间的非线性优化,图搜索—将车辆状态空间表示为图。
graph—search 计算最短路径,基于树的方法增量的创建可达状态树,选择最优枝。
1.4 D. 车辆控制
控制车辆稳定的执行运动规划种选择的轨迹,轨迹误差反应了控制的精确性,是反馈控制的依据。
02 规划模型与控制模型
高保真模型-准确反应了车辆响应,更多细节会是规划与控制问题变得复杂。本节只关注一般模型,旨在阐述与模型规划和控制的一般概念。
下文会多次提到车辆的位姿:1 车辆某点位置、车头朝向姿态。通过位姿将车辆运动表示为二维的欧氏空间刚体运动。
2.1 A. 单轨运动学模型
(Single track model) 也是实际应用中最最基本的模型,想象一下自行车。车辆有前后两轮,刚性连接在一起,车轮与地面需要保持接触,每个轮可以围绕各自轴自由旋转。前轮有围绕纵轴旋转的自由度,该纵轴垂直于运动平面 (前轮转向)。

图 1.2: 单轨运动学模型
这种模型除了两轮同步向前无法进行单向整体平移。这种可操作性的局限被称作nonholonomic constraint–是关于哪些方向不能走的约束,属于速度约束–微分约束。
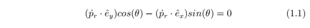
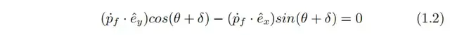
如图 (1.2) 车辆在静止状态下,惯性坐标系基向量(ˆex, eˆy, eˆz),前后轮位置pf,pr, 车辆方向用角度θ等于eˆx与 pf ,−pr夹角表示。
前后轮必须满足共线及与地面接触的约束:
1.后轮与地面接触约束定义:

2. 前轮与地面接触约束定义:

车轮与地面接触约束用惯性坐标系基向量的参数表达形式:

本文详细介绍了自动驾驶技术的发展历程、自动化级别、关键决策层次,包括路线规划、行为决策、运动规划和车辆控制。通过对车辆模型、路径规划算法、轨迹规划策略的讨论,揭示了自动驾驶背后的数据分析和技术挑战。同时,文章还探讨了车辆控制方法,如基于运动学模型的路径稳定性和轨迹跟踪控制。最后,强调了预测控制方法和线性参数变化控制在解决高速行驶中的计算负担问题。
最低0.47元/天 解锁文章

4494

被折叠的 条评论
为什么被折叠?



