sinat_33635313
码龄9年
关注
提问 私信
  • 博客:7,460
    问答:5,652
    13,112
    总访问量
  • 9
    原创
  • 115,907
    排名
  • 51
    粉丝
  • 0
    铁粉
  • 学习成就
IP属地以运营商信息为准,境内显示到省(区、市),境外显示到国家(地区)
IP 属地:广东省
  • 加入CSDN时间: 2016-01-05
博客简介:

sinat_33635313的博客

查看详细资料
  • 原力等级
    成就
    当前等级
    2
    当前总分
    107
    当月
    0
个人成就
  • 获得93次点赞
  • 内容获得0次评论
  • 获得81次收藏
创作历程
  • 4篇
    2024年
  • 5篇
    2021年
成就勋章
TA的专栏
  • C++
    2篇
  • 静电场仿真
    1篇
  • python
    1篇
  • cuda编程
    2篇
兴趣领域 设置
  • 硬件开发
    驱动开发
创作活动更多

如何做好一份技术文档?

无论你是技术大神还是初涉此领域的新手,都欢迎分享你的宝贵经验、独到见解与创新方法,为技术传播之路点亮明灯!

352人参与 去创作
  • 最近
  • 文章
  • 代码仓
  • 资源
  • 问答
  • 帖子
  • 视频
  • 课程
  • 关注/订阅/互动
  • 收藏
搜TA的内容
搜索 取消

SetTimer与timeSetEvent的应用

介绍SetTimer与timeSetEvent的应用,主要应用场景及启动及注销方法
原创
发布博客 2024.09.02 ·
701 阅读 ·
29 点赞 ·
0 评论 ·
17 收藏

精确获取时间计时的方法

编程时经常需要了解处理一事件后所用的时间,此文介绍了一种方法,可以得到精确的间隔时间
原创
发布博客 2024.08.30 ·
355 阅读 ·
5 点赞 ·
0 评论 ·
8 收藏

电磁场分析的理论基础

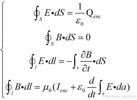
计算电磁场的方法有许多,而这些方法的基本出发点(数学理论)都是麦克斯韦方程。麦克斯韦方程组,是英国物理学家詹姆斯·克拉克·麦克斯韦在建立的一组描述与之间关系。它由四个方程组成:描述电荷如何产生电场的高斯定律、论述磁单极子不存在的高斯磁定律、描述电流和实变电场怎么产生的麦克斯韦安培定律以及描述时变磁场如何产生的法拉第感应定律。可表示为麦克斯韦的积分形式和微分形式。电磁类工程仿真软件主要基于麦克斯韦方程组的数值化计算,通过有限元分析、边界元法等计算方法求解电磁场的分布规律。
原创
发布博客 2024.08.29 ·
436 阅读 ·
5 点赞 ·
0 评论 ·
4 收藏

Python - PyQt5环境搭建和基本工程搭建

开发工具PyCharm39.win10系统下,按下Win+R组合键,这将打开“运行”对话框。在对话框中输入“cmd”,进入命令提示符窗口‌,本人的Python39安装在D:盘下输入命令:由于国内网络原因很多时候出现链接超时错误,可更换国内镜像:再执行:在Python39\Lib\site-packages下出现PyQt5和pyqt5_tools文件夹。
原创
发布博客 2024.08.28 ·
1647 阅读 ·
49 点赞 ·
0 评论 ·
49 收藏

一台摄 像机接Silicon Software 卡以Medium模式工作的初始化问题

发布问题 2024.02.28 ·
3 回答

一台摄 像机Silicon Software 卡Medium模式下初始化问题

答:

有可是我没有说清楚,在Midium下,一台相机(大靶面、高帧频)也是有两个端口输出的,只有这样才会达到Midium数据量要求。一台相机的两个cameralink端口接在采集卡的对应端口上,完成大数据量的传输。

回答问题 2024.02.28

一台摄 像机Silicon Software 卡Medium模式下初始化问题

发布问题 2024.02.28 ·
4 回答

Silicon Software 卡Medium模式下初始化问题

答:

追问一下,分别对两个端口进行设置后,在产生事件后,从一个端口读出的数据是整帧的数据吗?(我接的是一个相机,medium模式),谢谢

回答问题 2024.02.28

Silicon Software 卡Medium模式下初始化问题

发布问题 2024.02.28 ·
4 回答

VS2019下编译opencv+cuda库

VS2019和cuda都安装完成,下载了opencv4.5.3,用cmake-3.15.3-win64-x64进行编译,在默认选项中增加选项WITH_TBB、WITH_CUDA、BULD_opencv_world.出现一堆错误,下载了tbb2019_20190605oss_win,并在坏境变量中增加了tbbvars批处理文件所在的路径下载了opencv_contrib-4.5.3,在编译时出现CUDA: OpenCV requires enabled ‘cudev‘ module from ‘.
原创
发布博客 2021.08.12 ·
640 阅读 ·
0 点赞 ·
0 评论 ·
0 收藏

VS2019环境下用nvcc编译cuda静态库时出现Cannot find compiler ‘cl.exe‘ in PATH的解决办法

输入:nvcc -c kernel.cu时出现Cannot find compiler 'cl.exe' in PATH,需要在环境变量中加入VS2019中cl.exe的路径我的安装环境是设置好后就不会再提示上面那个错误了
原创
发布博客 2021.08.09 ·
1600 阅读 ·
1 点赞 ·
0 评论 ·
1 收藏

MFCCudaTesr.rar

发布资源 2021.08.05 ·
rar

基于VS209+cuda11 的MFC程序创建和设置

基本编程环境为VS209、cuda11.41、创建一个基于对话框的工程2、在创建好的工程中,在解决方案资源管理器中源文件->添加->新建项,如图建立一个.cu文件3、设置编程环境(cuda头文件、lib等)右键点击项目 ->生成依赖项->生成自定义文件,如图选中在cu文件上右键属性->项类型->不参与生成 下拉选择cuda.点击应用至此编译环境设置好了。...
原创
发布博客 2021.08.05 ·
192 阅读 ·
0 点赞 ·
0 评论 ·
0 收藏

excel 时间格式转换

在工程中记录时间的方式经常以秒为单位记录,在excel中为了更直观分析数据,需要将以秒为单位的时间信息转换为时分秒显示方式,处理方法:图中B列为时间信息(毫秒),以列为“时分秒”显示的时间,公式式如图如果转换为时分秒毫秒,可以再加上一步,开成下图中D列...
原创
发布博客 2021.07.12 ·
907 阅读 ·
0 点赞 ·
0 评论 ·
0 收藏

excel 时间格式转换

在工程中记录时间的方式经常以秒为单位记录,在excel中为了更直观分析数据,需要将以秒为单位的时间信息转换为时分秒显示方式,处理方法:图中B列为时间信息(毫秒),以列为“时分秒”显示的时间,公式式如图如果转换为时分秒毫秒,可以再加上一步,开成下图中D列...
原创
发布博客 2021.07.12 ·
907 阅读 ·
0 点赞 ·
0 评论 ·
0 收藏

VS2019+Opencv编译发生内部编译器错误提示

在debug下编译没有提示错误,但在release下编译会提示内部编译器错误。经过查找,解决办法:在项目属性中的链接器优化项的链接时间代码生成改为<使用链接时间时间代码生成(/LTCG),问题解决。...
原创
发布博客 2021.07.04 ·
971 阅读 ·
4 点赞 ·
0 评论 ·
1 收藏

求助WriteFileEx返回错误代码87的解决办法

发布问题 2019.12.25 ·
2 回答

求助程序退出时opencv产生内存泄露

发布问题 2019.10.16 ·
1 回答

error "OpenCV 4.x+ requires enabled C++11 support"

发布问题 2019.10.11 ·
2 回答

findContours返回结果问题

发布问题 2019.10.10 ·
1 回答
加载更多