链表基础理论
链表是一种使用指针串联在一起的线性结构,没个节点由两部分组成,一个是数据域,另一个是指针域,最后一个节点的指针域指向NULL。
LeetCode203. 移除链表元素
题目描述:给你一个链表的头节点 head 和一个整数 val ,请你删除链表中所有满足 Node.val == val 的节点,并返回 新的头节点 。
示例 1:
示例 1:

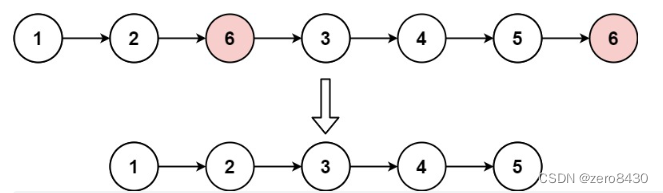
输入:head = [1,2,6,3,4,5,6], val = 6
输出:[1,2,3,4,5]
示例 2:
输入:head = [], val = 1
输出:[]
示例 3:
示例 3:
输入:head = [7,7,7,7], val = 7
输出:[]
思路
创建一个虚拟头节点指向原始的头结点;
删除的元素为该节点的next,该节点指向next->next;
注意内存释放;
C++代码
/**
* Definition for singly-linked list.
* struct ListNode {
* int val;
* ListNode *next;
* ListNode() : val(0), next(nullptr) {}
* ListNode(int x) : val(x), next(nullptr) {}
* ListNode(int x, ListNode *next) : val(x), next(next) {}
* };
*/
class Solution {
public:
ListNode* removeElements(ListNode* head, int val) {
ListNode* dummyHead = new ListNode(0);
dummyHead->next = head;
ListNode* cur = dummyHead;
while (cur->next != nullptr) {
if (cur->next->val == val) {
ListNode* tmp = cur->next;
cur->next = cur->next->next;
delete tmp;
}
else {
cur = cur->next;
}
}
head = dummyHead->next;
delete dummyHead;
return head;
}
};
文章讲述了如何在链表中删除所有值等于给定值val的节点。通过创建虚拟头节点简化操作,当遇到值为val的节点时,将其next指针改为下一个非val节点并释放原节点内存。最终返回新链表的头节点。
439

被折叠的 条评论
为什么被折叠?



