虚拟DOM的原理思想
频繁且复杂的dom操作通常是前端性能瓶颈的产生点,Vue提供了虚拟dom的解决办法。虚拟的DOM的核心思想是:对复杂的文档DOM结构,提供一种方便的工具,进行最小化地DOM操作。
(1) 提供一种方便的工具,使得开发效率得到保证
(2) 保证最小化的DOM操作,使得执行效率得到保证
简单来说
- 根据虚拟dom树最初渲染成真实dom
- 当数据变化,或者说是页面需要重新渲染的时候,会重新生成一个新的完整的虚拟dom
- 拿新的虚拟dom来和旧的虚拟dom做对比(使用diff算法)。得到需要更新的地方之后,更新内容。这样就能大量减少真实dom的操作,提高性能。

什么是虚拟dom?
Virual DOM是用JS对象记录一个dom节点的副本。是用javascript对象表示的,和真正的DOM有一层映射关系,当dom发生更改时候,先用虚拟dom进行diff,算出最小差异,然后再修改真实dom。
<div id="content">
<p>{{ 1+1}}</p>
<ul class="list-group"></ul>
</div>
<div id="myp">1</div>
var data = {
arr:[]
}
1.内存中生成一颗虚拟dom树
var vDom = {
tag:"div",
attr:{
id:"content"
},
children:[
{tag:"p",content:2},
{tag:"ul",attrs:{className:"list-group"}}
]
}
2.将内存中的虚拟dom树初始化渲染成真实dom树
3.当我们修改data里面的数据的时候
data.arr.push("<li>111111</li>")
data.arr.push("<li>222222</li>")
4.将之前的虚拟dom树结合新的数据生成一颗新的虚拟dom树
var newDom = {
tag:"div",
attr:{
id:"content"
},
children:[
{tag:"p",content:2},
{tag:"ul",attrs:{className:"list-group"},children:[
{tag:"li",content:"11111"},
{tag:"li",content:"22222"}
]}
]
}
5.将此次生成好的新的虚拟dom树与上一次的虚拟dom树结构进行对比,对比差异(diff算法)
6.将对比出来的差异的部分进行重新真实dom结构的渲染
虚拟DOM的Diff算法
虚拟DOM中,在DOM的状态发生变化时,虚拟DOM会进行Diff运算,来更新只需要被替换的DOM,而不是全部重绘。
在Diff算法中,只平层的比较前后两棵DOM树的节点,没有进行深度的遍历。
- 如果节点类型改变,直接将旧节点卸载,替换为新节点,旧节点包括下面的子节点都将被卸载,如果新节点和旧节点仅仅是类型不同,但下面的所有子
- 节点都一样时,这样做也是效率不高的一个地方。
节点类型不变,属性或者属性值改变,不会卸载节点,执行节点更新的操作。 - 文本改变,直接修改文字内容。
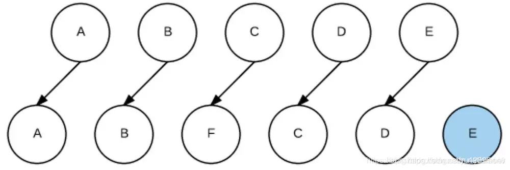
- 移动,增加,删除子节点时:如果想在中间插入节点F,最简单做法是:卸载C,装载F,卸载D,装载C,卸载E,装载D,装载E。如下图:

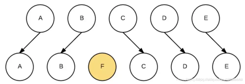
写代码时,如果没有给数组或枚举类型定义一个key,就会采用上面的粗暴算法。
如果为元素增加key后,Vue就能根据key,直接找到具体的位置进行操作,效率比较高。如下图:

虚拟dom和key的关系
当用传统的方式操作DOM的时候,浏览器会从构建DOM树开始从头到尾执行一遍流程,效率很低。而虚拟DOM是用javascript对象表示的,而操作javascript是很简便高效的。虚拟DOM和真正的DOM有一层映射关系,很多需要操作DOM的地方都会去操作虚拟DOM,最后统一一次更新DOM。因而可以提高性能
在v-for中提供key,一方面可以提高性能,一方面也会避免出错
文中如有不妥之处,欢迎大家留言指正,非常感谢!!!
♥♥天再高又怎样,踮起脚尖就更接近阳光♥♥
3092

被折叠的 条评论
为什么被折叠?



