论文地址 arxiv.org/pdf/2010.08196.pdf
1.基本公式

在两个李代数中有一个为小量时,可以用BCH近似表达:

2.状态的定义

误差状态的定义如下:

由于是ESKF(误差状态卡尔曼滤波器),因此我们要估计的是误差状态。
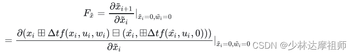
在FAST-LIO中对于误差状态转移方程的描述以及线性化结果如下:

误差的估计值=状态的真值-状态的估计值。然后由状态转移方程从i+1时刻递推到i时刻。
KF用的是一阶泰勒展开,那么这里的F_x就是一阶导,又因为误差和噪声的期望都为0,所以这使得我们可以在0处展开,因此只需要求解在0处的导数即可:


分子部分,令


链式求导展开:


导数是单位阵。分子上的东西全消掉了,只剩误差项,所以是单位阵。

构建一个更通用的形式来求解:

对两个小量进行展开近似,因为小量趋近于0,所以使用泰勒公式0处展开:








这里比较难计算的是第三行第一项:

原文是 https://zhuanlan.zhihu.com/p/670130932
写的很清晰,记录下来,值的学习
212

被折叠的 条评论
为什么被折叠?



